Предмет: Математика,
автор: lovelaSSka228
o̶̶̷̤ .̫ o̴̶̷̤ ~ позязя
Приложения:
Ответы
Автор ответа:
1
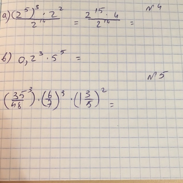
2 в 15*2 в квадрате/2 в 16 степени=2 в 17/2 в 16=2 в 1 степени или просто 2
5 в минус 3* 5 в пятой степени=5 в квадрате=25
Похожие вопросы
Предмет: География,
автор: Аноним
Предмет: Английский язык,
автор: lerapanch
Предмет: Русский язык,
автор: ixtiyor757
Предмет: Математика,
автор: rosaperxik1
Предмет: Алгебра,
автор: Almeark