Предмет: Алгебра, автор: марго456

помогите решить уравнение
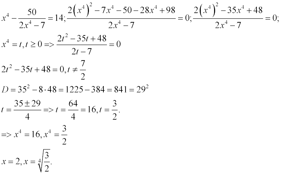
 х^4-50/2x^4-7=14

Ответы

Автор ответа: Tangodown
0
Проверь на всякий случай.
Приложения:
Похожие вопросы
Предмет: География, автор: genrik97