Предмет: Алгебра,
автор: IvtY
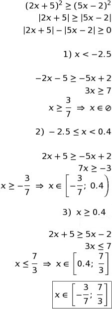
Уравнение ОГЭ ФИПИ2019 (2x+5)^2>=(5x-2)^2
Ответы
Автор ответа:
0
Решение во вложении.
Ответ: x∈[-3/7; 7/3]
Приложения:
IvtY:
Спасибо
Похожие вопросы
Предмет: Физика,
автор: michail27lel
Предмет: Алгебра,
автор: helled
Предмет: Математика,
автор: trocenkonatala3105
Предмет: Математика,
автор: sashakass
Предмет: Математика,
автор: tatyanabelousova