Предмет: Алгебра, автор: Cerasd23

Помогите плиз с алгеброй

Приложения:

Ответы

Автор ответа: Аноним
1
""""""""""""""""""""""""""
Приложения:
Автор ответа: AntVa
0

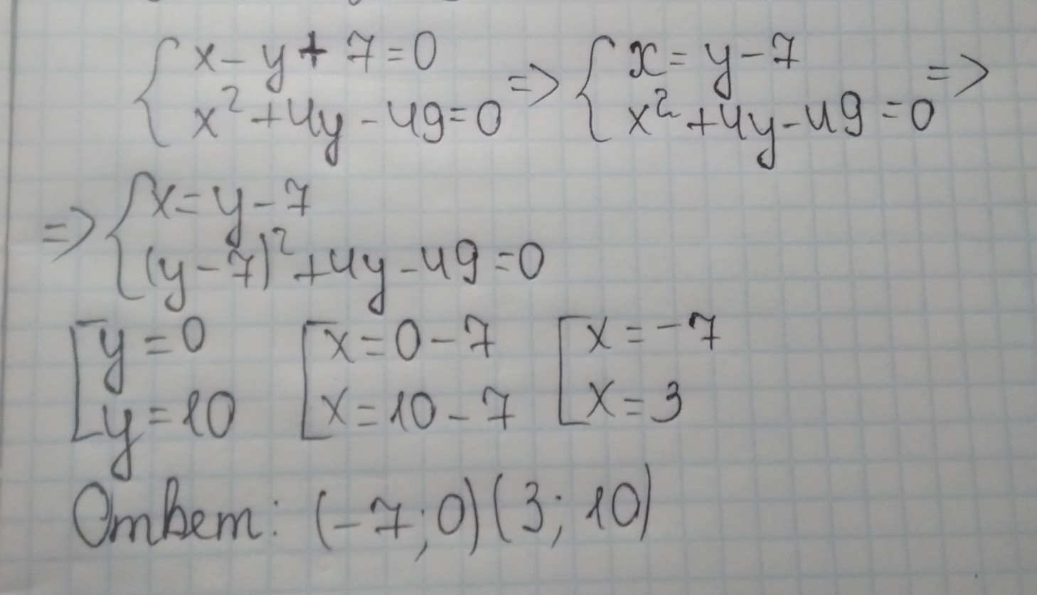
\left \{ {{x=y-7;} \atop {x^2+4y-49=0}} \right. \Leftrightarrow (y-7)^2+4y-49=0; \Leftrightarrow y^2-14y+49+4y-49=0; \Leftrightarrow y^2-10y=0;

y(y-10)=0;

y1=0; x1=-7;

y2=10; x2=3;

(-7;0), (3;10);

0,75*0,89-1,56=0,89*3/4-1,56=0,6675-1,56=-0,8925;

Похожие вопросы
Предмет: Биология, автор: Sweet09070
Предмет: Физика, автор: Kokookoj