Предмет: Алгебра,
автор: aleksei2283221378
решите пожалуйста, я очень сильно прошу, огромнейшие спасибо тому кто решит
Приложения:
Ответы
Автор ответа:
1
номер 5.
(извини,только этот поняла)
x - км/ч скорость пешехода
3х - км/ч скорость велосипедиста
4,5 км/ч время за которое пешеход прошел путь.
4,5/3х = 1,5/х время за которое велосипедист проехал весь путь
45 минут = 45/60 = 3/4 ч позже пешехода,они пришли в пункт N одновременно
4,5/х - 1,5/х = 3/4
3/х = 3/4
х=4
ответ: 4 км/ч скорость пешехода.
Сейчас попробую еще 3 решить..
(извини,только этот поняла)
x - км/ч скорость пешехода
3х - км/ч скорость велосипедиста
4,5 км/ч время за которое пешеход прошел путь.
4,5/3х = 1,5/х время за которое велосипедист проехал весь путь
45 минут = 45/60 = 3/4 ч позже пешехода,они пришли в пункт N одновременно
4,5/х - 1,5/х = 3/4
3/х = 3/4
х=4
ответ: 4 км/ч скорость пешехода.
Сейчас попробую еще 3 решить..
RominskayaYana:
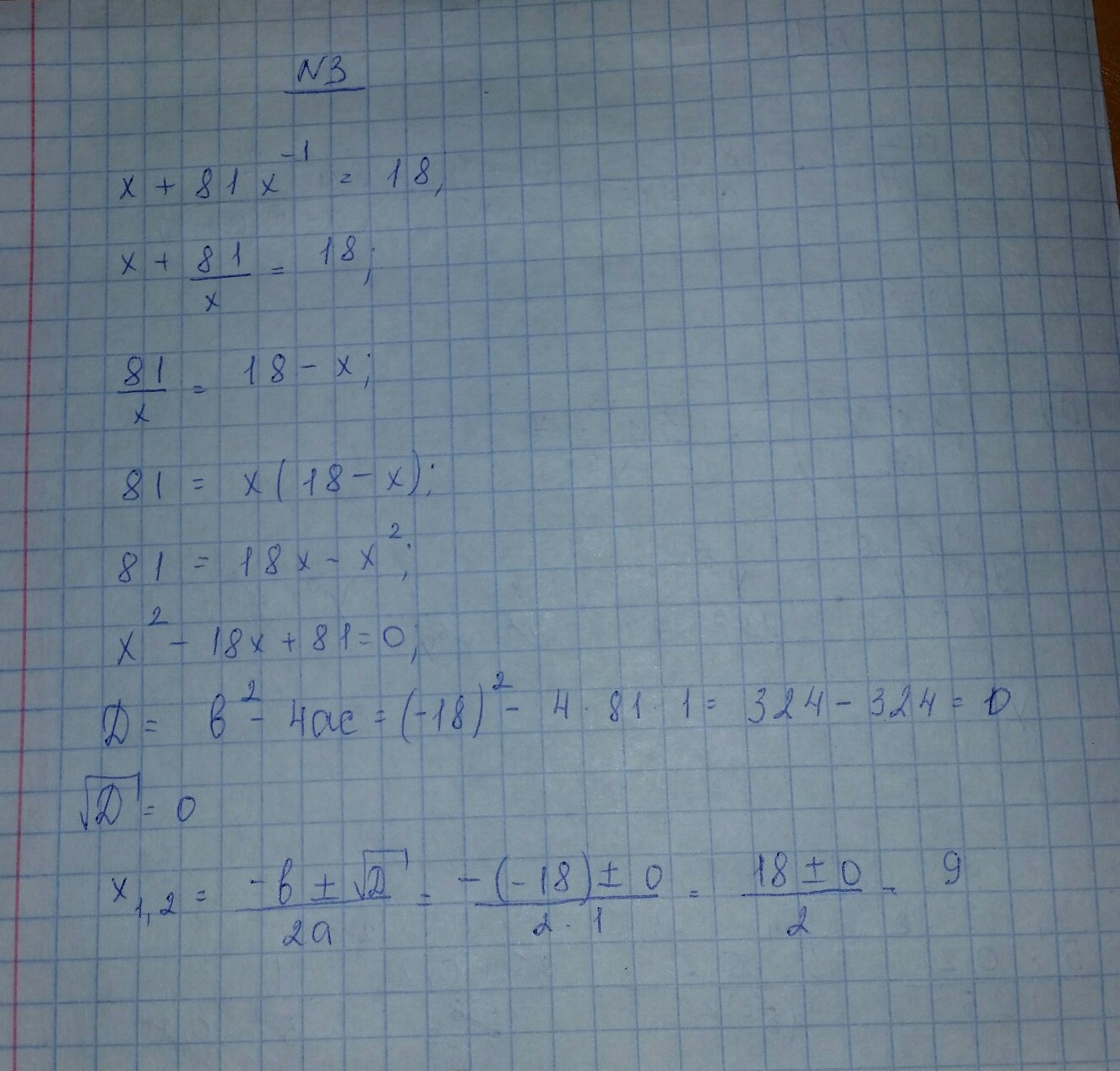
x+81x^ -1=18 ,x^2 + 81 = 18x , x^2 - 18x+81=0 ,(x-9)^2 =0,x=9.
Автор ответа:
1
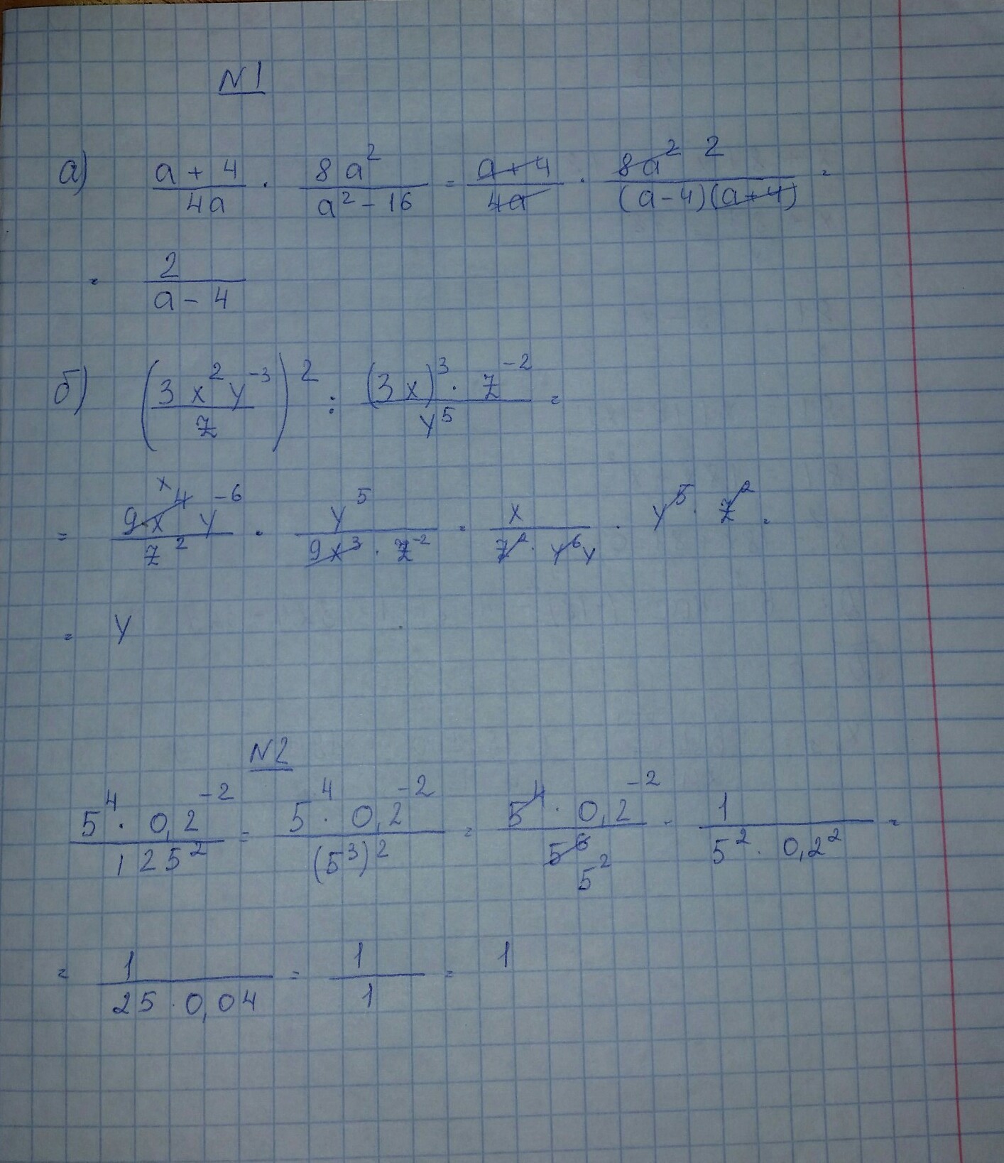
это задания 1-4, надеюсь, правильно) удачи)
Приложения:
я 3 решила,ну ладно;
;с
Похожие вопросы
Предмет: Информатика,
автор: jjkook1
Предмет: Информатика,
автор: kalasnikovaulana69
Предмет: Українська мова,
автор: rosariaqwO
Предмет: Алгебра,
автор: logosh
Предмет: Математика,
автор: wowjjjjjqqq