Предмет: Математика, автор: Maksik010107

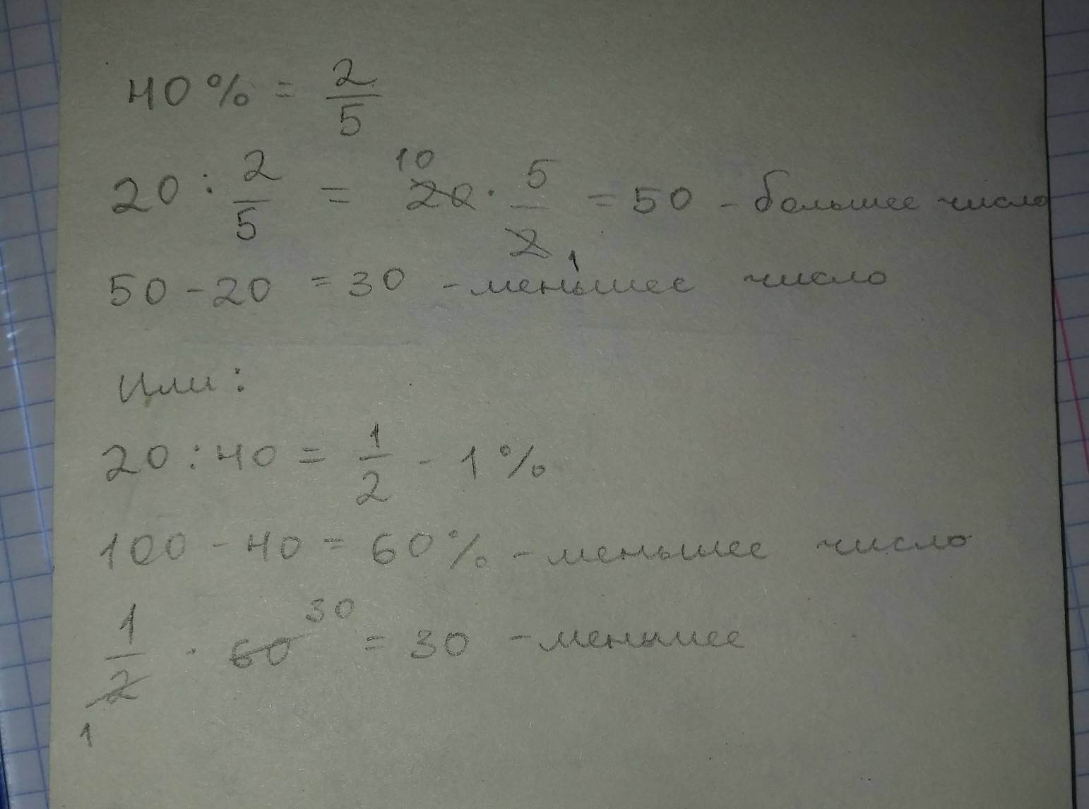
разность чисел равна 20 одно из них больше другого на 40% найдите меньшее число дайте решение пж ток без десятичных дробей

Ответы

Автор ответа: sedahasanova66
1

He  will was a great day for you to go uroka was the best night I ne geder is

Автор ответа: karimkamilaeeeeboi
2
на...................................
Приложения:
Похожие вопросы
Предмет: Биология, автор: alinkacokolova
КРОВЕНОСНЫЕ СОСУДЫ
Артерии и вены – крупные кровеносные сосуды. Их внутренний слой образован плоскими плотно прилегающими друг к другу клетками. Средний слой состоит из эластичных волокон и гладких мышц. Их сокращение и расслабление влияет на объём крови, протекающей в сосуде. Это обеспечивает приспособленность организма к физическим и психическим нагрузкам. Наружный слой образован соединительной тканью.
Артерии – сосуды, по которым кровь движется от сердца. Самая крупная артерия – аорта, скорость крови в ней примерно 0,5 м/с. Стенки артерий образованы большим количеством эластических волокон и толстым мышечным слоем. На ощупь они плотные и упругие, не спадающие, выдерживают высокое давление крови, которое в спокойном состоянии составляет около 120 мм рт. ст. Артерии разветвляются на более мелкие сосуды – артериолы, плавно переходящие в тончайшие сосуды – капилляры. Стенки капилляров состоят из одного слоя клеток, и через них легко происходит обмен веществ и газов между кровью и тканевой жидкостью.
Из капилляров кровь собирается сначала в мелкие, затем в крупные вены – сосуды, по которым кровь течёт к сердцу. Стенки вен тонки и растяжимы, содержат мало гладкомышечных клеток, поэтому в них накапливается значительная часть крови. Скорость крови в венах нарастает и составляет 6–25 см/с, а давление падает. В стенках крупных вен имеются особые складки – клапаны. Они предотвращают обратный ток крови.




29




Используя содержание текста «Кровеносные сосуды», ответьте на вопросы:
1) Какие свойства характерны для вен?
2) Какая особенность в строении вен обеспечивает движение крови в них только в одном направлении?
3) Какое биологическое значение имеет малая скорость движения крови по капиллярам?