Предмет: Математика,
автор: maksimalekseev733
помогите пожалуйста .У меня не как не принимают :(
Приложения:
Ответы
Автор ответа:
2
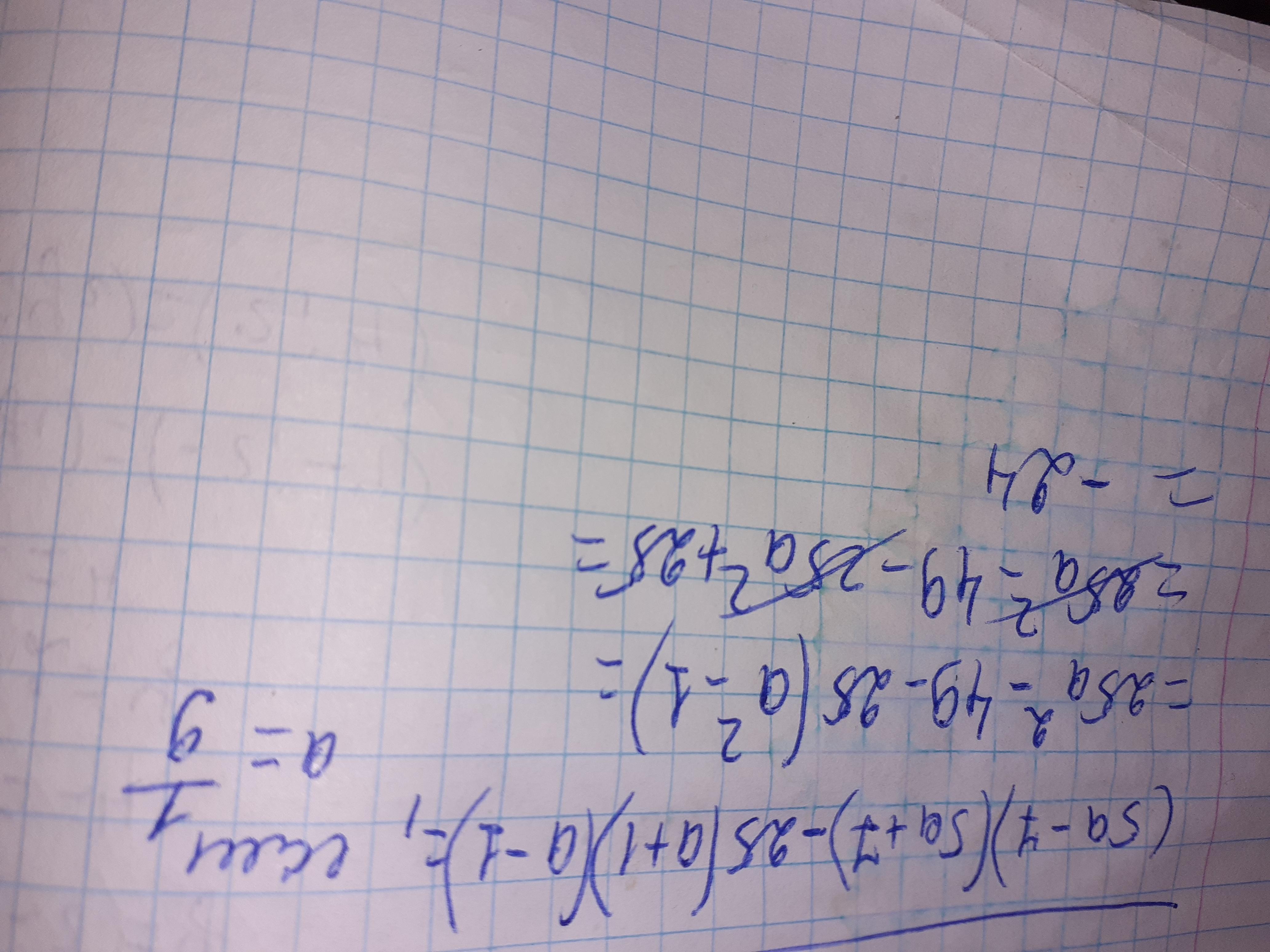
Ответ:вот
Пошаговое объяснение:
Приложения:
Автор ответа:
0
Ответ: -24
________________
Похожие вопросы
Предмет: Русский язык,
автор: yuhhtr
Предмет: Английский язык,
автор: sailor252
Предмет: Русский язык,
автор: sonya264
Предмет: Математика,
автор: ernestabern
Предмет: История,
автор: DianaSagatbekova