Предмет: Физика,
автор: JohnnyJoestar
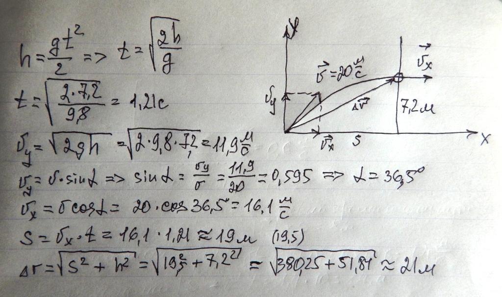
Брошенный мальчиком камень влетел горизонтально в дупло дерева на высоте 7,2 м. На каком расстоянии от дерева находился мальчик, если скорость броска 20 м/с? Под каким углом к горизонту был брошен камень? Каково перемещение камня?
Ответы
Автор ответа:
2
Вот, смотри на изображении.
Приложения:
JohnnyJoestar:
спасибо большое <З
Похожие вопросы
Предмет: Математика,
автор: xxtahyshaxx
Предмет: Математика,
автор: dgulyai2009
Предмет: Химия,
автор: roman74796
Предмет: География,
автор: настя03022004
Предмет: Алгебра,
автор: НОРДЖУНГ