Предмет: Алгебра,
автор: anzhelikasuprun03
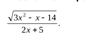
При каких значениях переменной х имеет смысл выражение
Приложения:
Ответы
Автор ответа:
0
При х=2,5
Приравниваешь знаминатель к 0 и решаешь уравнение
Похожие вопросы
Предмет: Русский язык,
автор: alibi55583
Предмет: География,
автор: DimaTalyatin
Предмет: Математика,
автор: shynghys777
Предмет: Алгебра,
автор: Аноним
Предмет: Музыка,
автор: tunzaletar