Предмет: Математика, автор: k43ff

сделать лимит
правильный ответ 0

Приложения:

Ответы

Автор ответа: edenikaev
1

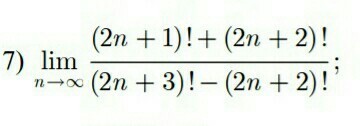
\lim_{n \to \infty} \frac{(2n+1)!+(2n+2)!}{(2n+3)!-(2n+2)!} = \lim_{n \to \infty} \frac{(2n+1)!+(2n+2)*(2n+1)!}{(2n+3)*(2n+2)!-(2n+2)!} = \lim_{n \to \infty} \frac{(1+2n+2)*(2n+1)!}{(2n+3-1)*(2n+2)!} = \lim_{n \to \infty} \frac{(3+2n)*(2n+1)!}{(2n+2)*(2n+2)*(2n+1)!} = \lim_{n \to \infty} \frac{3+2n}{(2n+2)^{2} } ; 2n=t; \lim_{n \to \infty} \frac{3+t}{(t+2)^{2} } = \lim_{n \to \infty} \frac{3+t}{t^{2}+4t+4 } = \lim_{n \to \infty} \frac{t^{2}*(3/t^{2} + 1/t)}{t^{2}*(1+4/t+4/t^{2})} = \lim_{n \to \infty} \frac{3/t^{2}+1/t }{1+4/t+4/t^{2}}=\frac{0+0}{1+0+0} =0

Похожие вопросы