Предмет: Алгебра,
автор: nevessoma
прошу о помощи✨
Вот СРОЧНО нужно. Рыбоньки, пожулисто✨
Приложения:
Ответы
Автор ответа:
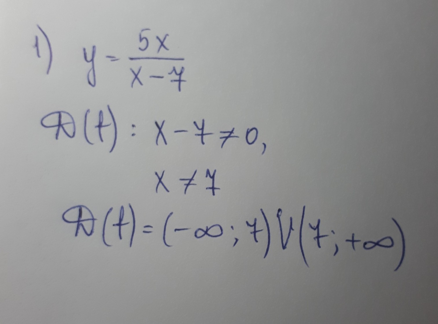
1
Область определения-это все значения х, которые делают выражение допустимым, вот и ищи, чтобы функция могла существовать
Приложения:
Похожие вопросы
Предмет: Геометрия,
автор: qfkfnkdnfkjndgkd
Предмет: Математика,
автор: rrrrottt
Предмет: Математика,
автор: ainazbychkova1991
Предмет: Математика,
автор: Kasya1203
Предмет: Алгебра,
автор: maksev021