Предмет: Алгебра, автор: toriazh

Упростите, желательно с объяснением

Приложения:

Ответы

Автор ответа: kokoiiiii
0
вот прошу пожалуйста
Приложения:
Автор ответа: Regent1828
1

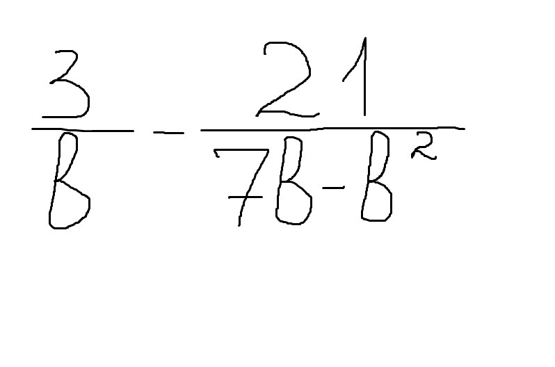
\displaystyle \tt\frac{3}{b}-\frac{21}{7b-b^{2}}=\frac{3}{b}-\frac{21}{b(7-b)}=\frac{3\cdot(7-b)-21}{b(7-b)}=\frac{21-3b-21}{b(7-b)}=\\\\\\=-\frac{3b}{b(7-b)}=\frac{3}{b-7};

Похожие вопросы
Предмет: Биология, автор: annamazura8
Предмет: Английский язык, автор: painsalina2007