Предмет: Математика,
автор: muradovaalina
Выполните умножение Плиизз пожалуйста помогите
Приложения:
Ответы
Автор ответа:
0
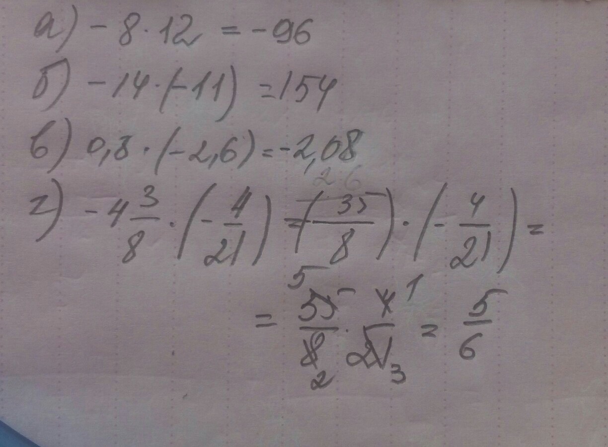
вроде все правильно , тут подробно не получится решить
Приложения:
muradovaalina:
Спасибоооо Спасибоо
Автор ответа:
0
-8×12= - 96
-14 × ( -11 )=14×11=154
0,8 × ( -2,6 )= - 2,08
- 4 целых 3/8 × ( - 4/21 )= 5/6
Спасибо
всегда пожалуйста)
Похожие вопросы
Предмет: Математика,
автор: ik2009039393939
Предмет: Математика,
автор: artembendenko37
Предмет: Химия,
автор: danilatroanenko
Предмет: Литература,
автор: mariya12205
Предмет: Математика,
автор: dianochkalyubim