Предмет: Алгебра,
автор: wastyk
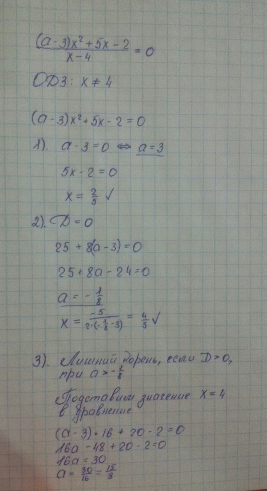
Найдите все значения а при которые уравнение имеет единственное решение
Приложения:
Ответы
Автор ответа:
2
Ответ:
Приложения:
Похожие вопросы
Предмет: Другие предметы,
автор: yunugridina20102010
Предмет: Геометрия,
автор: petrovgena649
Предмет: Английский язык,
автор: Klejmenovaa5
Предмет: Математика,
автор: денис191ю
Предмет: Математика,
автор: akasatka11