Предмет: Математика,
автор: gfxxfyh
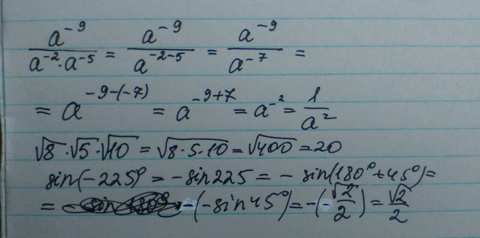
1 упростить
2 вычислить
и еще вычислить sin(-225)
расписать ответы
Приложения:
Ответы
Автор ответа:
1
........................
Приложения:
Автор ответа:
1
Ответ прикреплен. Удачи
Приложения:
cdsgnfr:
можно вопрос синус 360-225 чему равен?
синус( 360-225)=синус 135 или синус(180-135)=синус(45)=корень из 2 / 2
спасибо.
Похожие вопросы
Предмет: Геометрия,
автор: safdan2008
Предмет: Другие предметы,
автор: nadya211246
Предмет: История,
автор: natalyanemchilova
Предмет: Математика,
автор: mironycheva03
Предмет: Биология,
автор: tikorum