Предмет: Математика,
автор: lopkar45
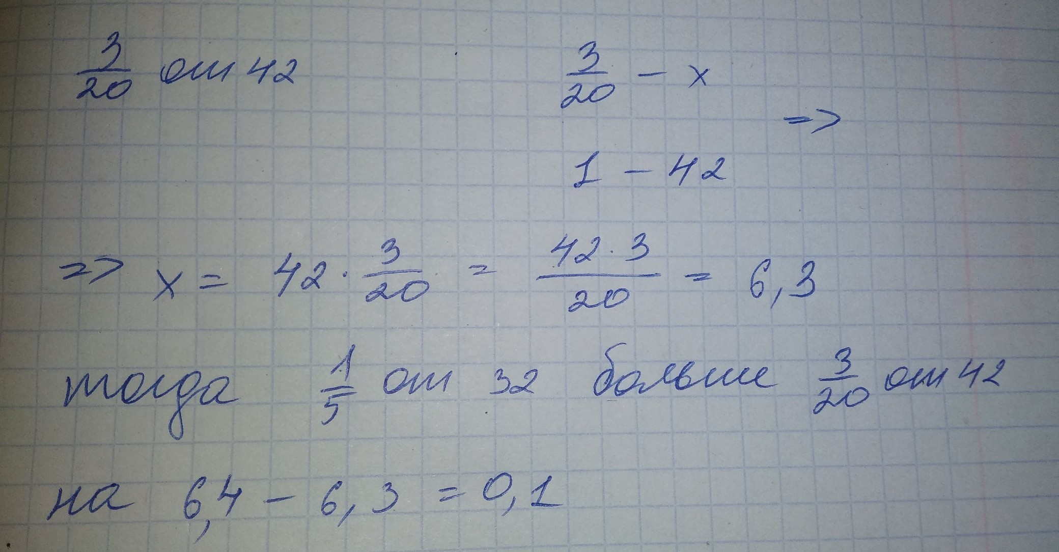
Что больше и на сколько : 1/5 от 32 или 3/20 от 42?
Ответы
Автор ответа:
2
-------------------------------------------------------
Готово.
-------------------------------------------------------
Готово.
-------------------------------------------------------
Приложения:
Автор ответа:
2
1/5 от 32 32÷5×1=6,4.
3/20 от 42 42÷20×3=6,3.
6,4-6,3=0,1.
Ответ:1/5 от 32 больше ,чем 3/20 от 42 на 0,1
Похожие вопросы
Предмет: Українська мова,
автор: olegblagko888
Предмет: Алгебра,
автор: mauiuug
Предмет: История,
автор: spenpromajkrafter
Предмет: Математика,
автор: хлебцшек