Предмет: Математика,
автор: Juliauejx
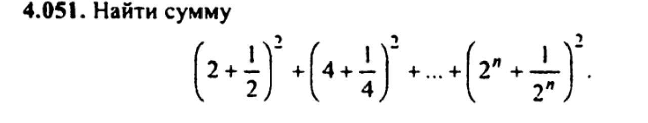
Срочно!!!Помогите пожалуйста!Надо найти сумму.Этот пример был в разделе геометрическая прогрессия!Помогите пжпжжпжп.Буду ооооочень благодарна
Приложения:
Ответы
Автор ответа:
1
= 4 + 1/4 + 2 + 16 + 1/16 + 2 + 64 + 1/64 + 2 + ,,, + 2²ⁿ + 1/2²ⁿ + 2 = 4 + 16 + 64 +...+ 4ⁿ + 1/4 + 1/16 + 1/64 +...+ 1/4ⁿ + 2 + 2 + 2 + ...+2 = (4(4ⁿ - 1))/(4-1) + (1/4(1/4ⁿ - 1))/(1/4 - 1) + 2n = (4(4ⁿ - 1))/3 - (1/4(1/4ⁿ - 1))/(3/4) + 2n = (4(4ⁿ - 1))/3 + (4ⁿ - 1)/(3·4ⁿ) + 2n = ((4ⁿ - 1)/3) · (4 + 1/4ⁿ) + 2n = ((4ⁿ - 1)/3) · ((4·4ⁿ + 1)/4ⁿ) + 2n = ((4ⁿ - 1)(4·4ⁿ + 1))/(3·4ⁿ) + 2n
Похожие вопросы
Предмет: Математика,
автор: yaamid3
Предмет: Алгебра,
автор: rikandmorti2008
Предмет: История,
автор: evgenpro007
Предмет: Математика,
автор: geti1
Предмет: Обществознание,
автор: олситтопв