Предмет: Математика,
автор: Mariaglu2
розвязати рівняння............
Приложения:
Ответы
Автор ответа:
1
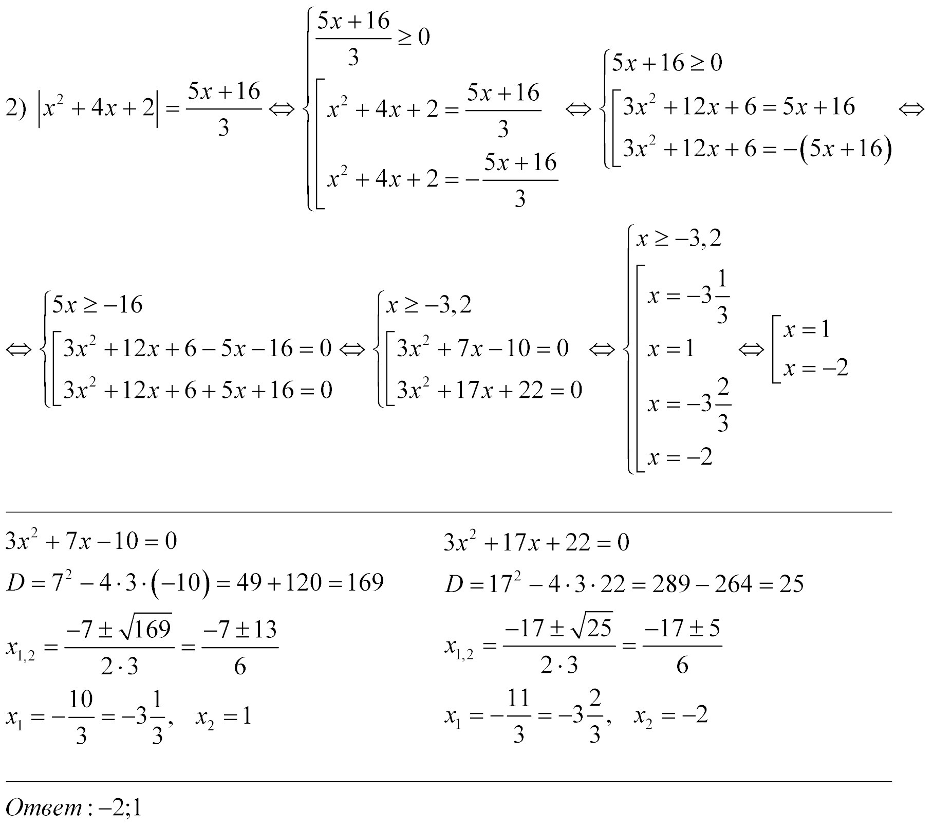
Решение (см. изображения)
Приложения:
Похожие вопросы
Предмет: Алгебра,
автор: anim9953
Предмет: Математика,
автор: Аноним
Предмет: Геометрия,
автор: sofialobanionova
Предмет: Математика,
автор: lirika77444444
Предмет: Химия,
автор: ХКСибирь