Предмет: Алгебра,
автор: Nazira2002
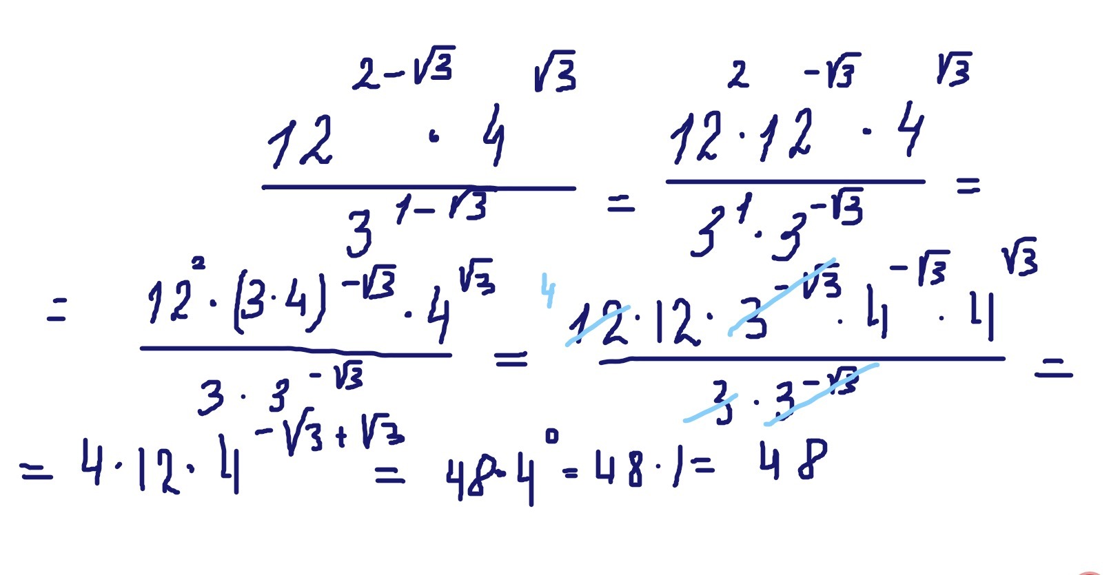
Алгебра. Вычислите:

Ответ: 48.
Пожалуйста отправьте фотку с подробным решением.
Ответы
Автор ответа:
1
Удачи)))))))))))))))))))))
Приложения:
Автор ответа:
1
Похожие вопросы
Предмет: Алгебра,
автор: kamilahusainova2008
Предмет: Қазақ тiлi,
автор: irinka1123
Предмет: Русский язык,
автор: artemobutov18
Предмет: Математика,
автор: ммп2
Предмет: Математика,
автор: гриша234