Предмет: Алгебра, автор: dadwqeq1

Вот.
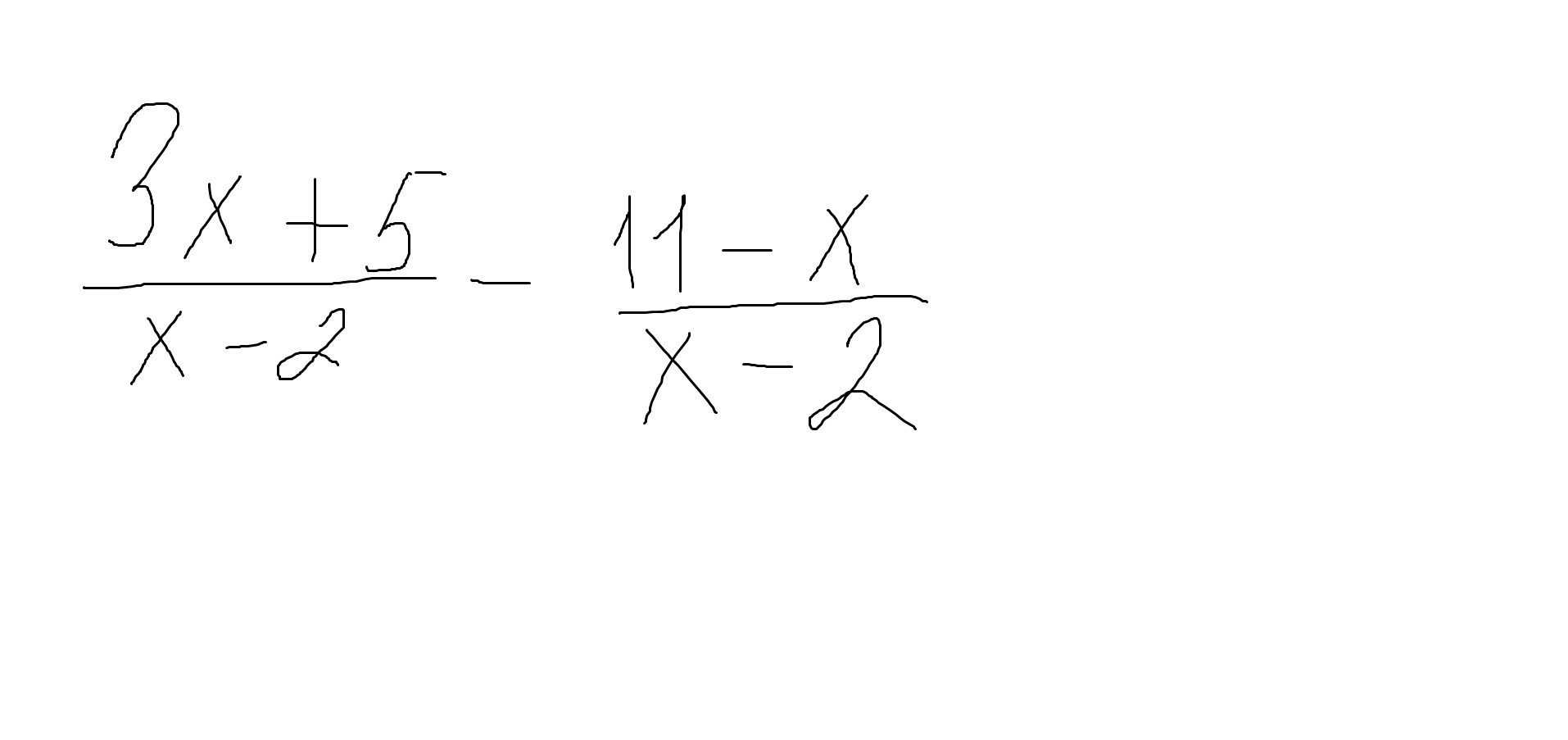
Выполнить действие:

Приложения:

Ответы

Автор ответа: Аноним
0

 \frac{3x+5}{x-2} - \frac{11-x}{x-2} = \frac {3x+5 -11+x}{x-2}=\frac{4x-6}{x-2}=\frac{4x-8+2}{x-2}=\frac{4x-8}{x-2}+\frac{2}{x-2} = 4 +\frac{2}{x-2}


dadwqeq1: откуда в "4х-8+2" -8 и +2?
Аноним: -6=-8+2
dadwqeq1: блинн
Автор ответа: Пеппер
0

:::::::::::::::решение::::::::::::::::::::

Приложения:
Похожие вопросы
Предмет: Алгебра, автор: zopyrakraikovic0
Предмет: Русский язык, автор: doskumbayev