Предмет: Математика,
автор: Olezhakorolekio
Помогите упростить выражения)
Приложения:
Ответы
Автор ответа:
2
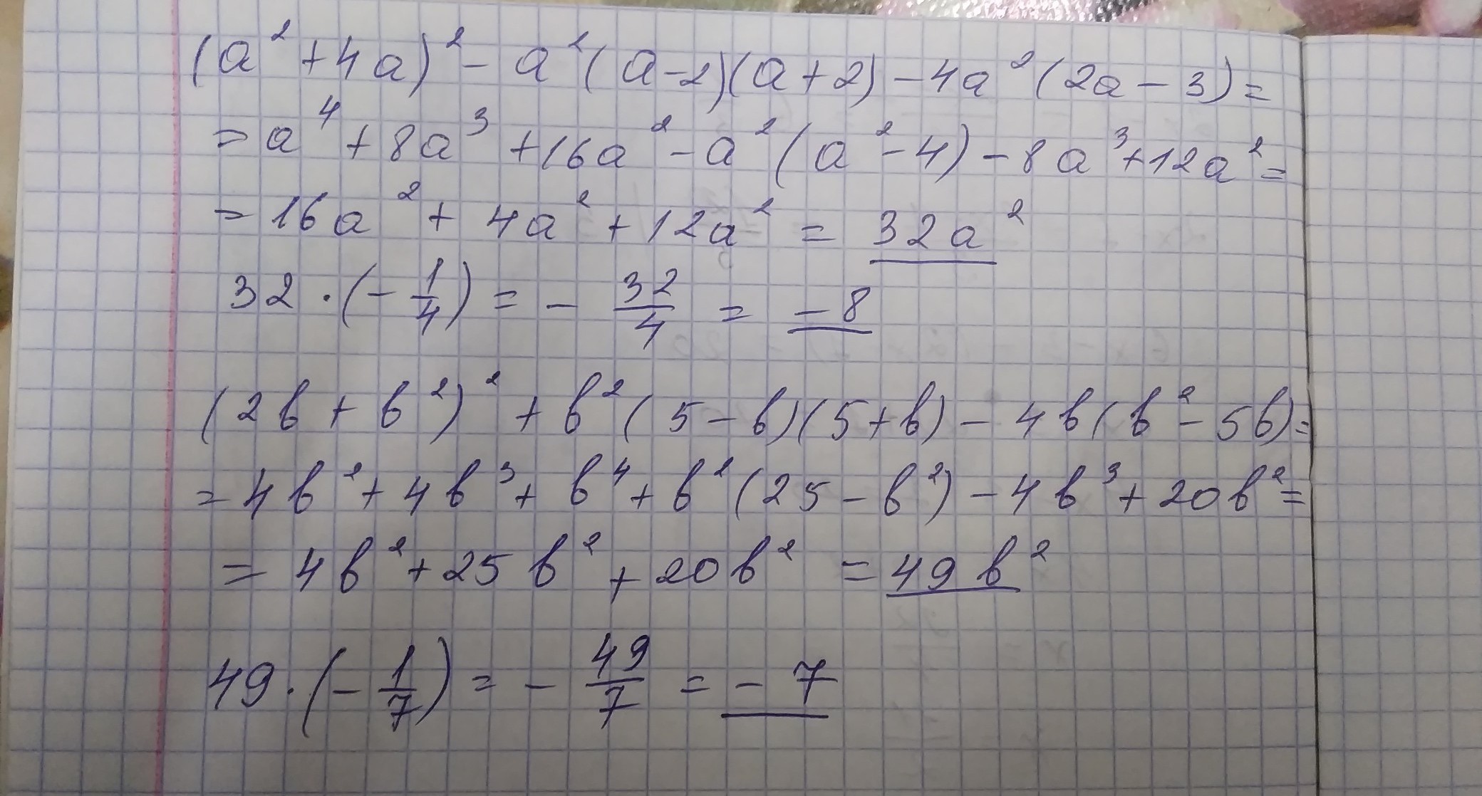
Вот ответ.
-----------------------------------------------
-----------------------------------------------
Приложения:
Похожие вопросы
Предмет: Химия,
автор: HIMIAHELP
Предмет: Алгебра,
автор: Аноним
Предмет: Математика,
автор: tockaa940
Предмет: Математика,
автор: rimma19619
Предмет: Алгебра,
автор: dgkjh