Предмет: Математика,
автор: Lucky4boy
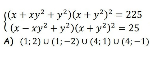
надо найти х и у, если не трудно с объяснением
Приложения:
Ответы
Автор ответа:
1
Решение во вложении.
Решали с помощью замены.
Решали с помощью замены.
Приложения:
Похожие вопросы
Предмет: Алгебра,
автор: ydihon
Предмет: Математика,
автор: les60
Предмет: Физика,
автор: 1est55
Предмет: Математика,
автор: olga910