Предмет: Математика,
автор: Money229
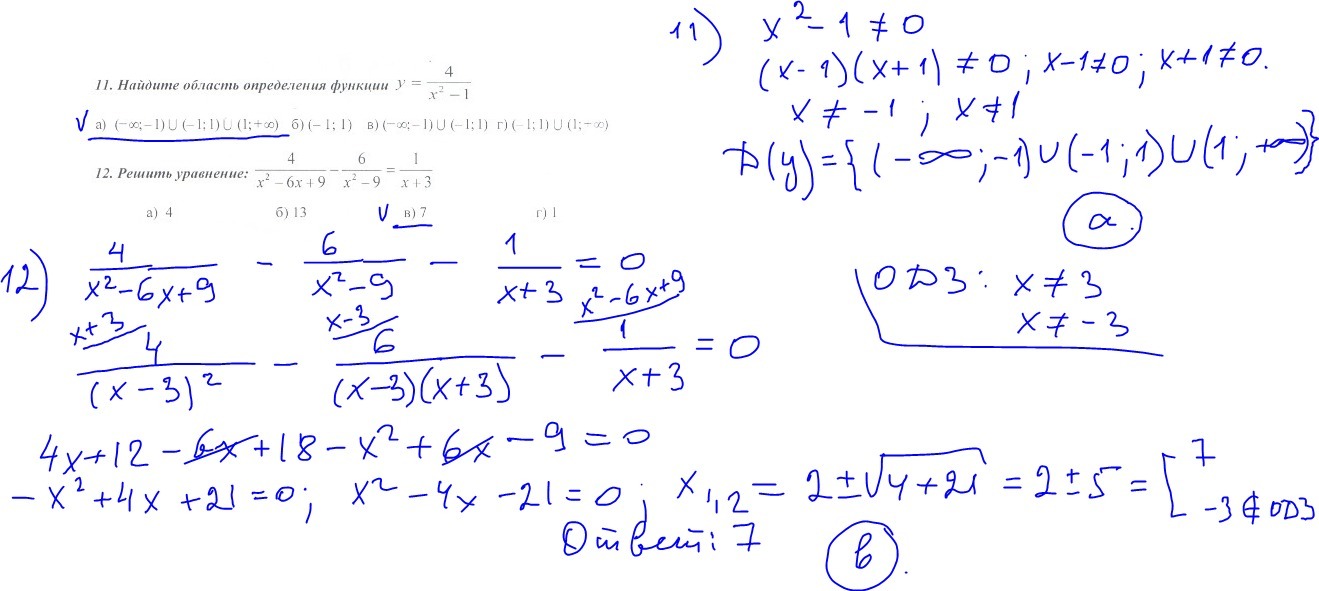
9 класс. Нужно полное и подробное решение заданий.
Приложения:
Ответы
Автор ответа:
1
.......................... ............................ .........................
Приложения:
Похожие вопросы
Предмет: Математика,
автор: nikitanikeut186
Предмет: Алгебра,
автор: ttTtTtGG
Предмет: Русский язык,
автор: Аноним
Предмет: Математика,
автор: Lovata
Предмет: Геометрия,
автор: SongerSong