Предмет: Математика,
автор: hoccetbagirovkrutoy
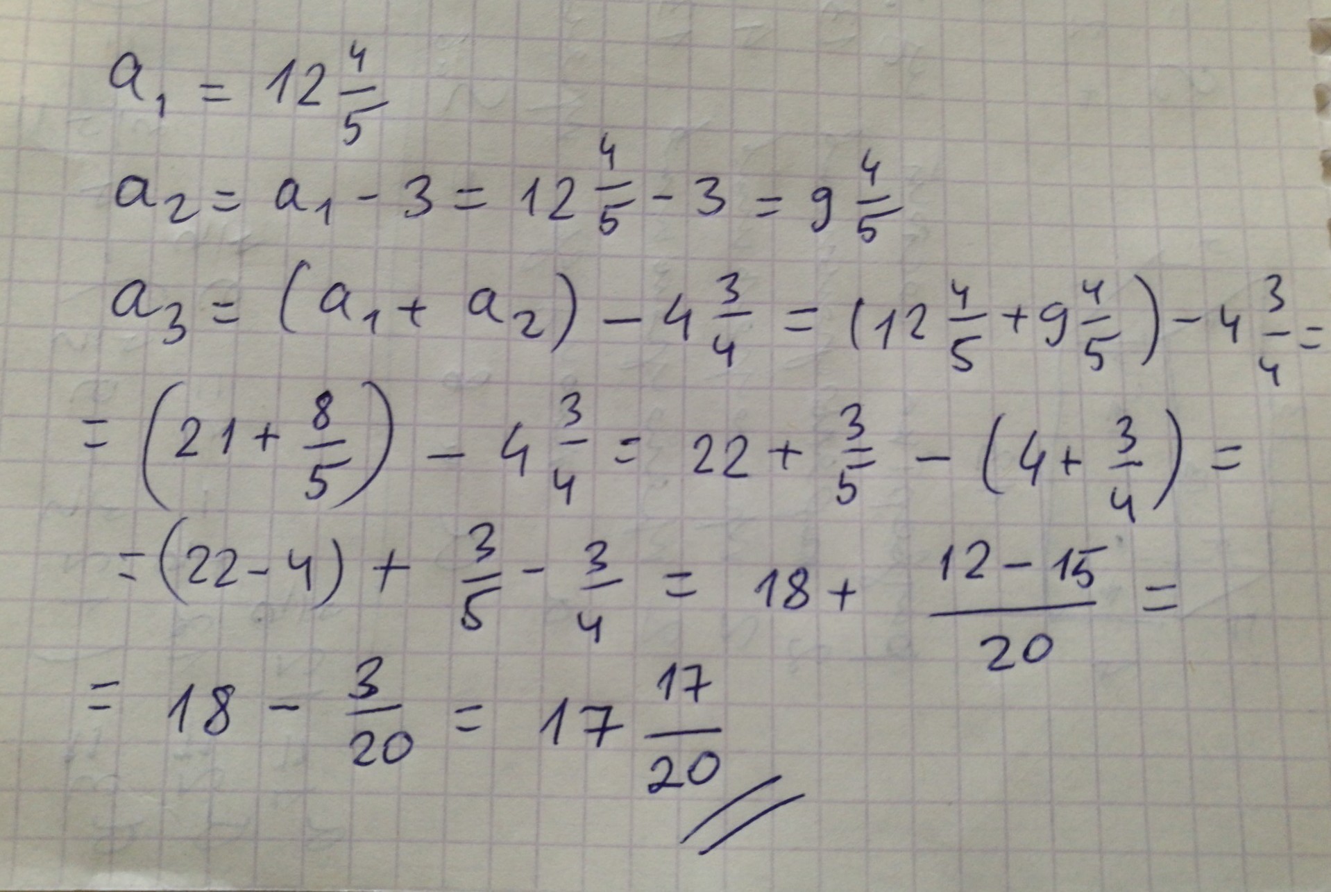
Даны три числа.первое число равно 12 4/5,второе на 3 единицы меньше первого, а третье на 4 3/4 меньше суммы первого и второго числа. н
Найдите сумму этих чисел
Ответы
Автор ответа:
7
сумма равна
40 9/20
решение см. на фотографиях ( 2 шт)
удачи!
40 9/20
решение см. на фотографиях ( 2 шт)
удачи!
Приложения:
hoccetbagirovkrutoy:
спс большое
хорошо
хорошо
Автор ответа:
4
Пусть a,b,c -- искомые числа.
a = 12 4/5
b = a - 3 = 12 4/5 - 3 = 64/5 - 15/5 = 49/5 = 9 4/5
c = (a + b) - 4 3/4 = 12 4/5 + 9 4/5 - 4 3/4 = 21 8/5 - 4 3/4 = 113/5 - 19/4 = 452/20 - 95/20 = 357/20 = 17 17/20
a + b + c = 12 4/5 + 9 4/5 + 17 17/20 = 21 8/5 + 17 17/20 = 113/5 + 357/20 = 452/20 + 357/20 = 809/20 = 40 9/20
Похожие вопросы
Предмет: Обществознание,
автор: asazajcik6
Предмет: Қазақ тiлi,
автор: omarovaalina63
Предмет: Другие предметы,
автор: gejdekana
Предмет: Математика,
автор: Владислав25733468832
Предмет: Математика,
автор: fatyaw