Предмет: Алгебра,
автор: Аноним
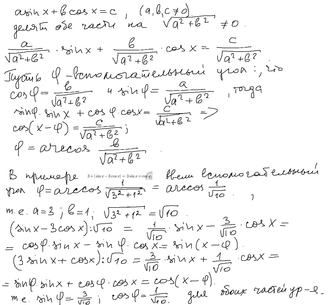
объясните пожалуйста почему все делится на корень из 10 и как cos заменился на arcsin?
Приложения:
Ответы
Автор ответа:
0
использован метод вспомогательного угла для решения триг ур
Приложения:
Похожие вопросы
Предмет: Физика,
автор: YouIjhg
Предмет: Математика,
автор: Аноним
Предмет: Химия,
автор: breask28
Предмет: Математика,
автор: даша1606