Предмет: Математика,
автор: Flaen1
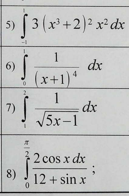
помогите, пожалуйста. Решите интегралы
Приложения:
Ответы
Автор ответа:
1
Ответ:.....................
Приложения:
Автор ответа:
1
.......................................
Приложения:
Похожие вопросы
Предмет: Английский язык,
автор: vikalisiuk2005
Предмет: Химия,
автор: casha66
Предмет: Английский язык,
автор: vikalisiuk2005
Предмет: География,
автор: Nastiax
Предмет: Математика,
автор: bublik455