Предмет: Математика,
автор: toryaril
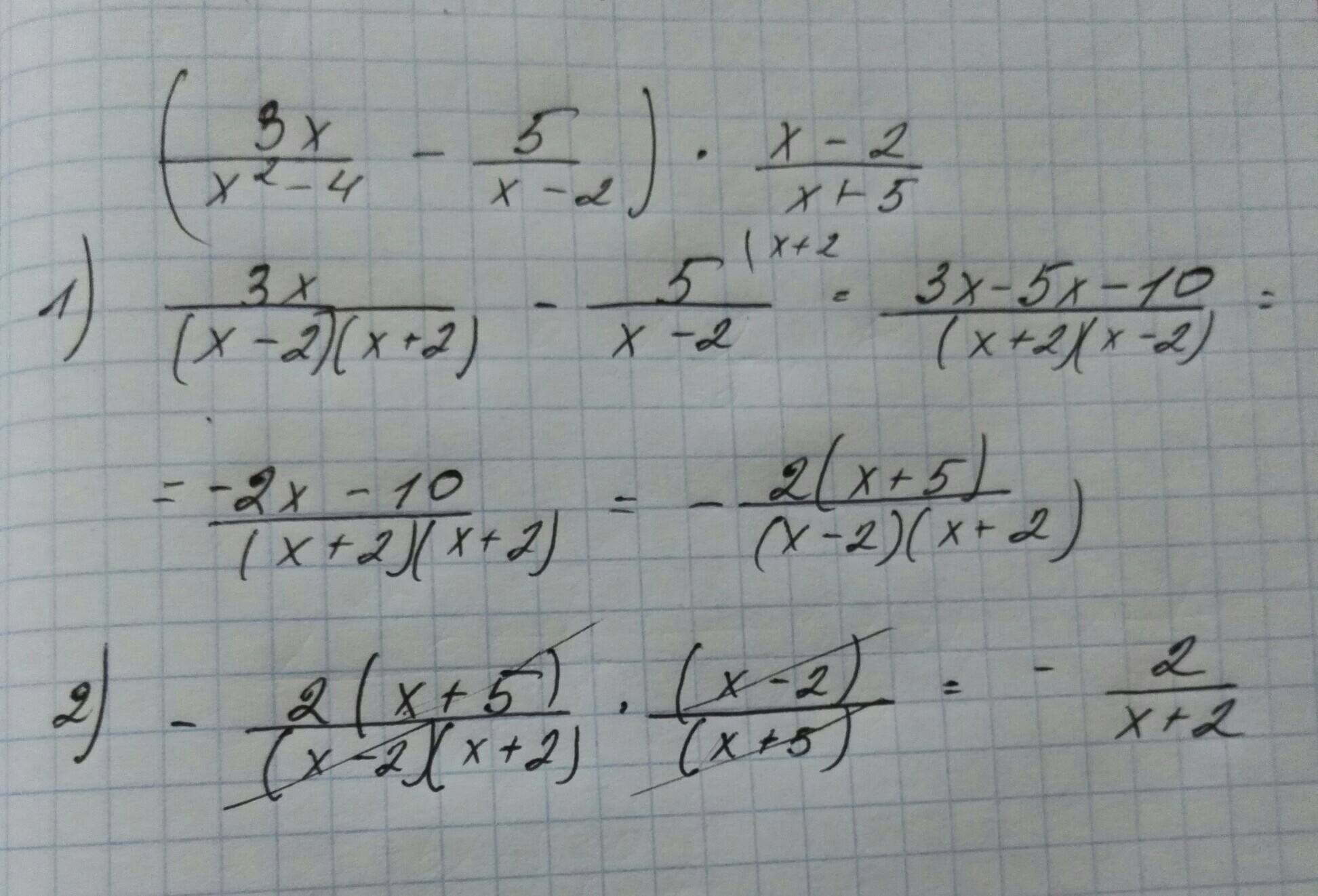
Упростите выражение:
3x 5. x-2
( -------- - ------- ) * ------- =
x^2-4 x-2. x+5
Беня2018:
лучше фотку
Ответы
Автор ответа:
0
решение на фото.......
Приложения:
Похожие вопросы
Предмет: Русский язык,
автор: zenalen5
Предмет: Русский язык,
автор: sophiatey11
Предмет: Литература,
автор: arina228pisyn
Предмет: Алгебра,
автор: Annytik444
Предмет: Математика,
автор: Аноним