Предмет: Алгебра,
автор: 128sd
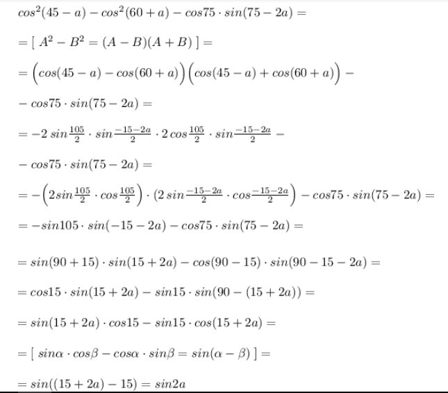
Докажите тождество. Помогите
Приложения:
Ответы
Автор ответа:
0
.................................................................................................................................................
Приложения:
Похожие вопросы
Предмет: Английский язык,
автор: gulsodabazarbaeva
Предмет: Алгебра,
автор: eugeniodepez
Предмет: Английский язык,
автор: kubanycbekovaamina26
Предмет: Математика,
автор: nikitaguskov200