Предмет: Алгебра,
автор: onetimefayp9bsax
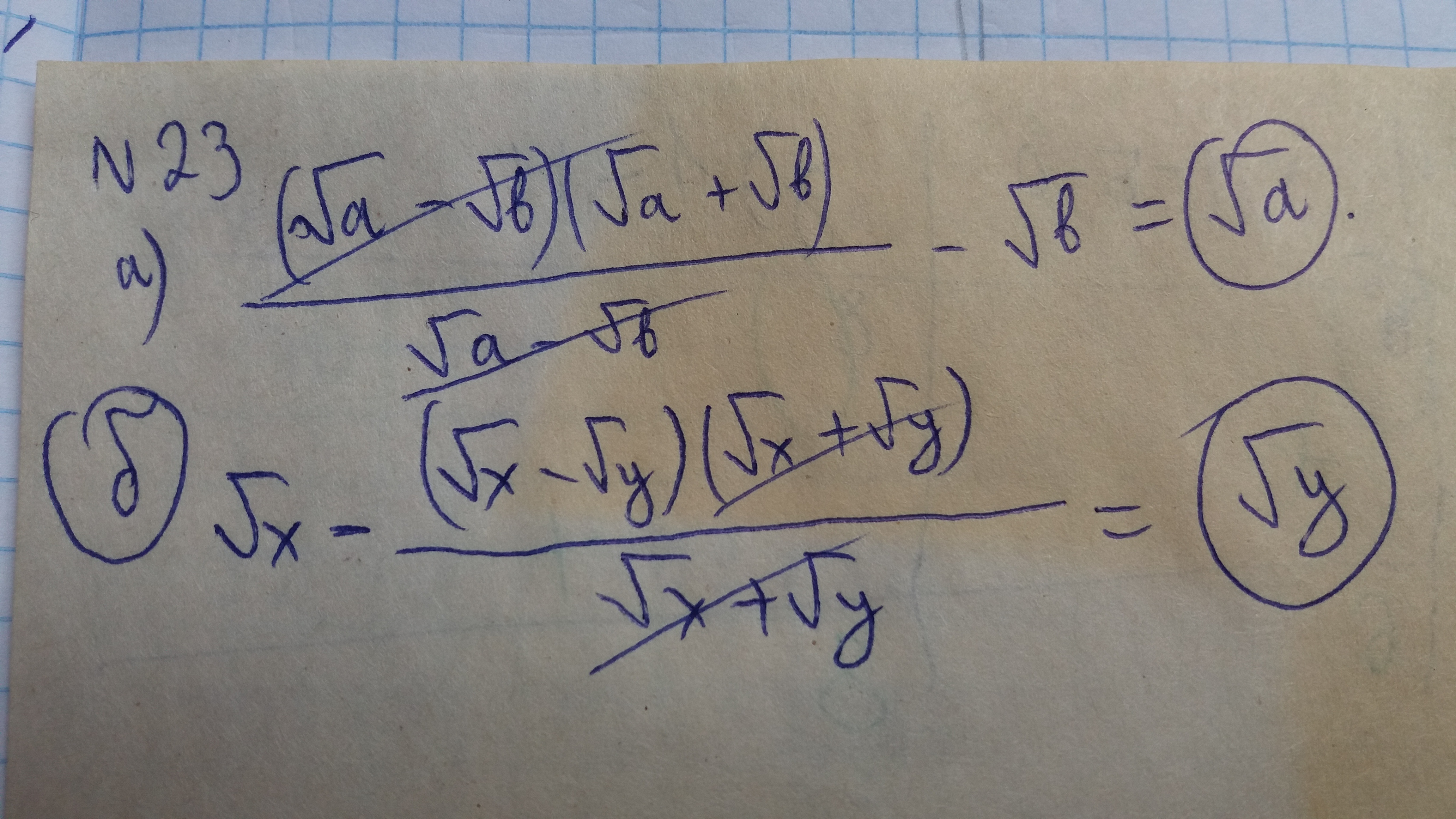
Помогите решить №23. И если можно разобрать как оно получилось
Приложения:
Ответы
Автор ответа:
0
Сначала нужно расписать как разность квадратов (есть формула), а потом сократить и вычесть. Решение приложено
Приложения:
Похожие вопросы
Предмет: Физика,
автор: kotlovana8569
Предмет: Физика,
автор: maimo2427
Предмет: Английский язык,
автор: Phanty
Предмет: Математика,
автор: ОНН