Предмет: Математика,
автор: BuffaloBill
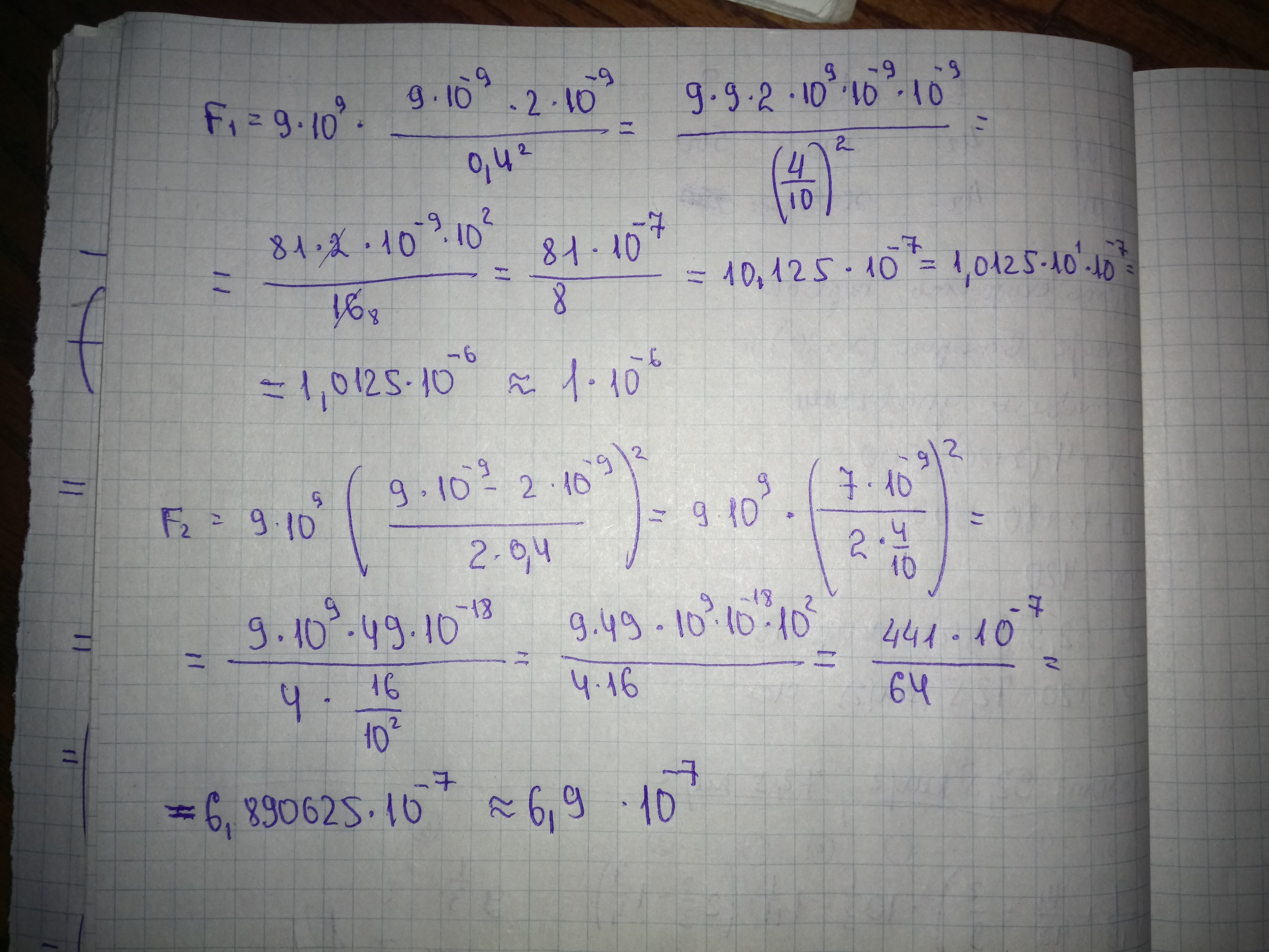
Срочно!!!! Пожалуйста объясните откуда такой ответ?
Приложения:
Ответы
Автор ответа:
0
Решение задания приложено
Приложения:
Похожие вопросы
Предмет: Физика,
автор: danikactanzkz
Предмет: Английский язык,
автор: polakovaola421
Предмет: Українська мова,
автор: kolisnyk29
Предмет: Математика,
автор: Жанса2007
Предмет: География,
автор: ЛэйлаМровр