Предмет: Алгебра,
автор: vifstiks
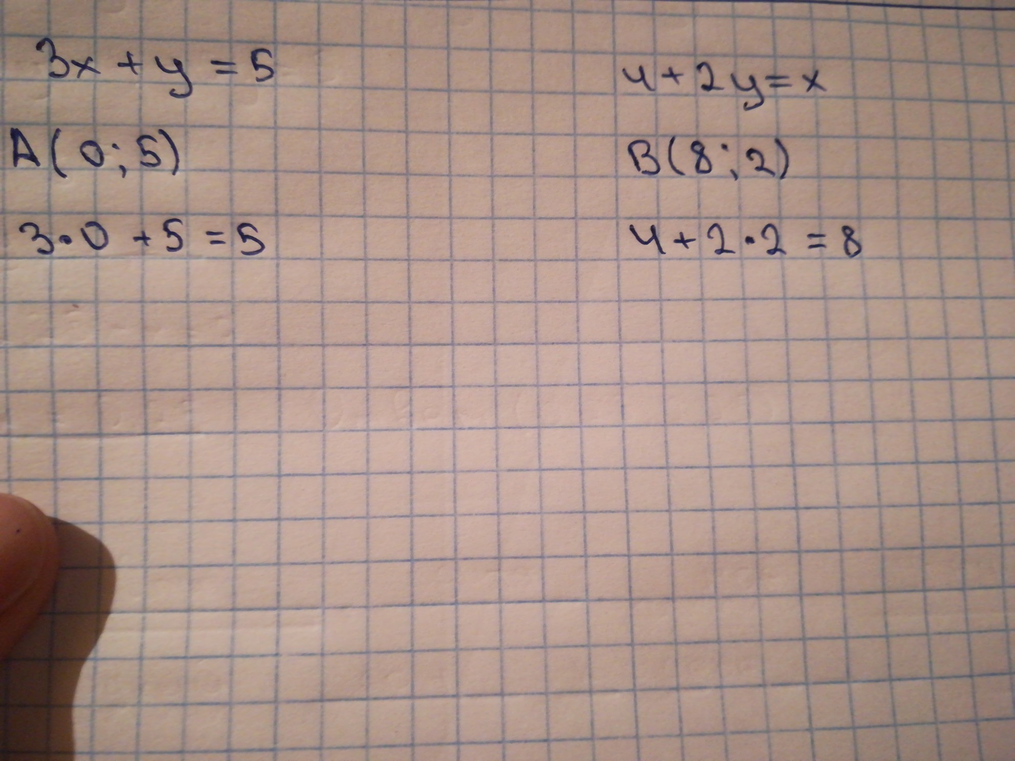
Вычислите координаты точки пересечения прямых 3x+y=5 и 4+2y=x
Как это решить?
Ответы
Автор ответа:
2
Просто выбираешь 2 любые точки и подставляешь в уравнение. И смотришь чтобы оно сходилось. На фото всё правильно)
Приложения:
Похожие вопросы
Предмет: Химия,
автор: ayja227
Предмет: Химия,
автор: antonenkoalinka
Предмет: Химия,
автор: 21012008nikaa
Предмет: Математика,
автор: маришка120
Предмет: Алгебра,
автор: NotTheSP