Предмет: Математика,
автор: Юляша1409
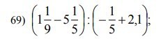
решите пример пожалуйста
Приложения:
Ответы
Автор ответа:
0
Мне кажется что что-то написано
Юляша1409:
всм?
Ответ 2,15
?.
Нет, -358.
Автор ответа:
1
вот так вот списывай на здоровье
Приложения:
Похожие вопросы
Предмет: Физика,
автор: jenjachuma85
Предмет: Математика,
автор: tikejbambin
Предмет: Математика,
автор: kapitonova023
Предмет: Математика,
автор: ЕгорАрутюнян