Предмет: Алгебра,
автор: Linash4673733
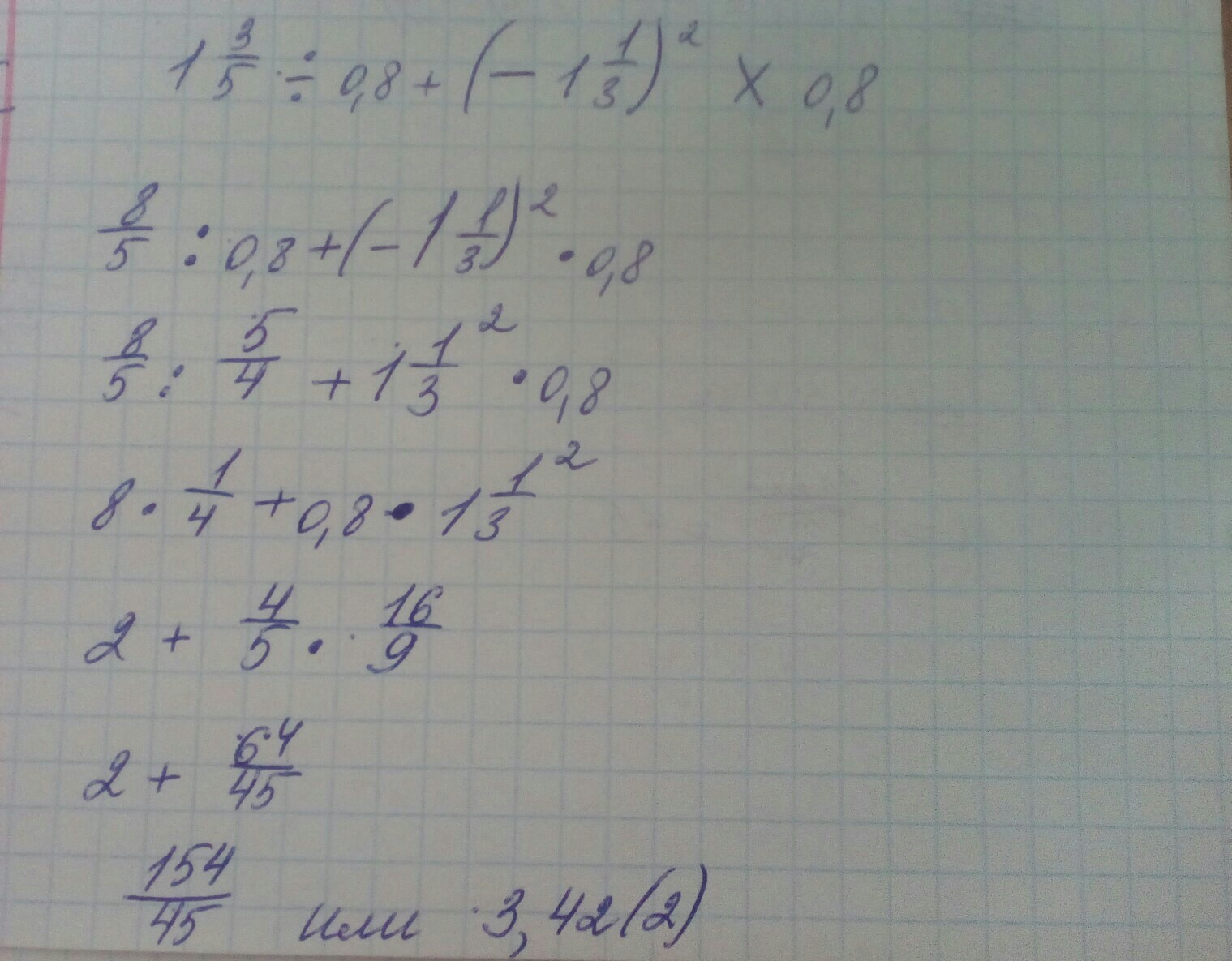
Решите пожалуйста...!)
Приложения:
Ответы
Автор ответа:
1
1 задание.
2 задание:

3 задание:
2 задание:
3 задание:
Приложения:
Похожие вопросы
Предмет: Английский язык,
автор: oxiambr
Предмет: Математика,
автор: grigdasa1
Предмет: Математика,
автор: 222883344
Предмет: Математика,
автор: Елизавета74759
Предмет: Математика,
автор: Volk631