Предмет: Алгебра,
автор: ssssssss8
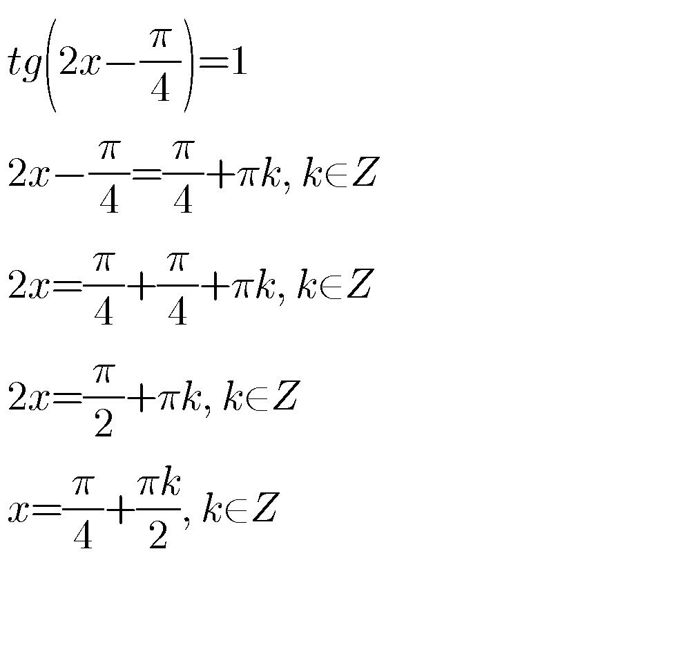
tg(2x-pi/4)=1
решитеееееееееее
Ответы
Автор ответа:
8
Ответ: х= π/4 + πк/2, к€Z
Приложения:
Похожие вопросы
Предмет: Информатика,
автор: Dotcv
Предмет: Математика,
автор: tk0934563
Предмет: Математика,
автор: zhasminackerman
Предмет: История,
автор: MESSI2534
Предмет: Физика,
автор: dronnikova01