Предмет: Алгебра, автор: Аноним

15.8 Решите уравнение x\x+4 + x+2\x-4 = 32\x²-16

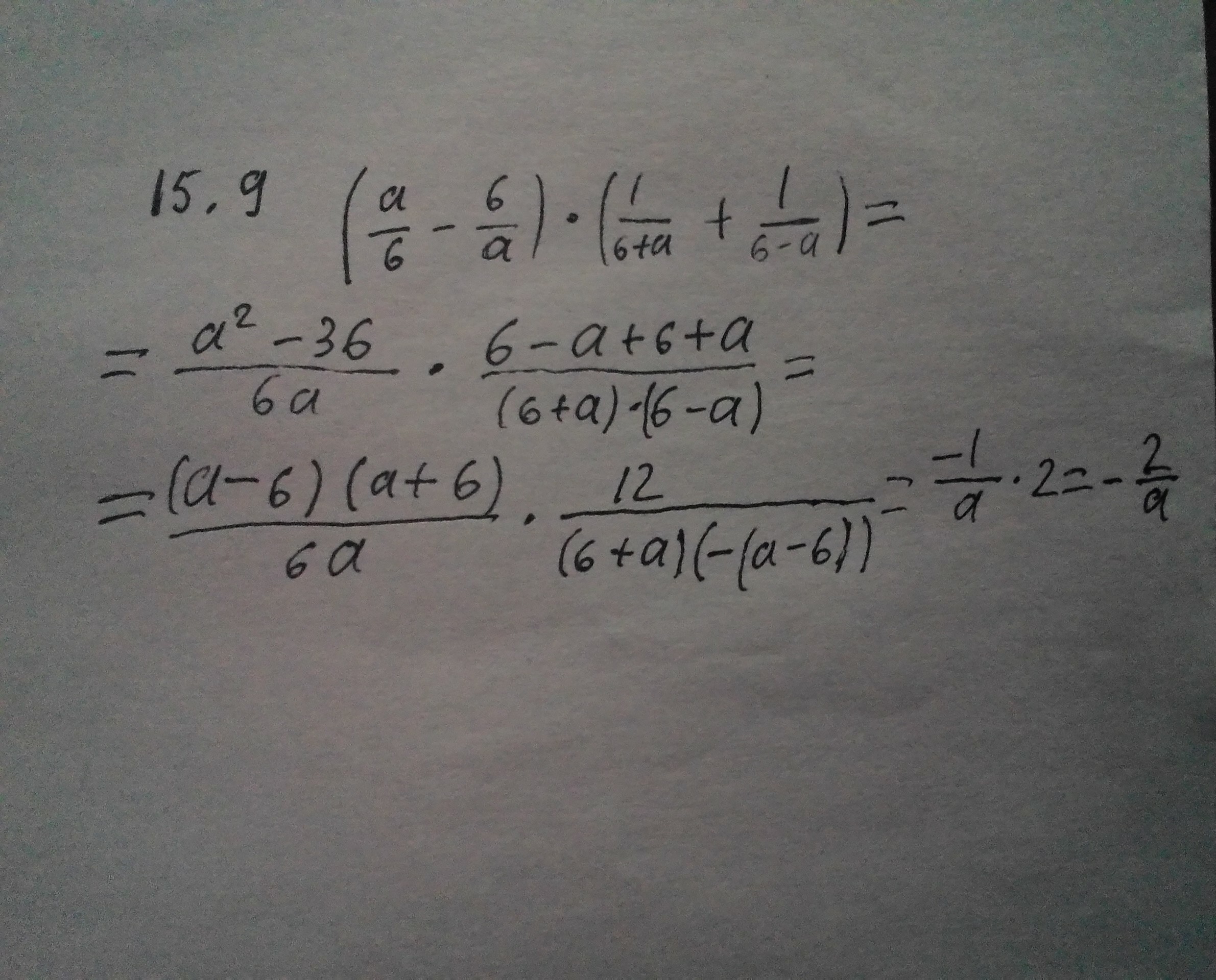
15.9 Упростите выражение (а\6 - 6\а)×(1\6+а + 1\6-а)

15.10 Упростите выражение (а-8\а+8 - а+8\а-8)÷16а\64-а²


FunSociety: капец полный
на листочке решу
FunSociety: остальные
FunSociety: На здоровье)))

Ответы

Автор ответа: FunSociety
1
15.8) \frac{x}{x+4} + \frac{x+2}{x-4} = \frac{32}{ x^{2} - 16} \\ \\ \frac{x}{x+4} + \frac{x+2}{x-4} = \frac{32}{ x^{2} - 16} ,x \neq -4 , x \neq 4 \\ \\ \frac{x}{x+4} + \frac{x+2}{x-4} -\frac{32}{ x^{2} - 16}=0 \\ \\ \frac{x}{x+4} + \frac{x+2}{x-4} -\frac{32}{ (x-4)(x+4)}=0 \\ \\ \frac{x(x-4)+(x+4)(x+2)-32}{(x-4)(x+4)}=0 \\ \\ \frac{x^{2} -4x+ x^{2} +2x+4x+8-32}{(x-4)(x+4)} =0 \\ \\ \frac{2 x^{2} +2x-24}{(x-4)(x+4)} =0 \\ \\ \frac{2( x(x +4)-3(x+4))}{(x-4)(x+4)} =0 \\ \\ \frac{2(x+4)(x-4)}{(x-3)(x+4)} =0 \\ \\ \frac{2(x-3)}{x-4}=0 \\ \\ 2x-6=0 \\ \\ 2x=6 \\ \\ x=3
Приложения:
Похожие вопросы
Предмет: Алгебра, автор: ледибаг2003