Предмет: Математика,
автор: Vikablond007
сумма двух чисел 6 3/4,а частное 3 1/2.найти эти числа
Ответы
Автор ответа:
0
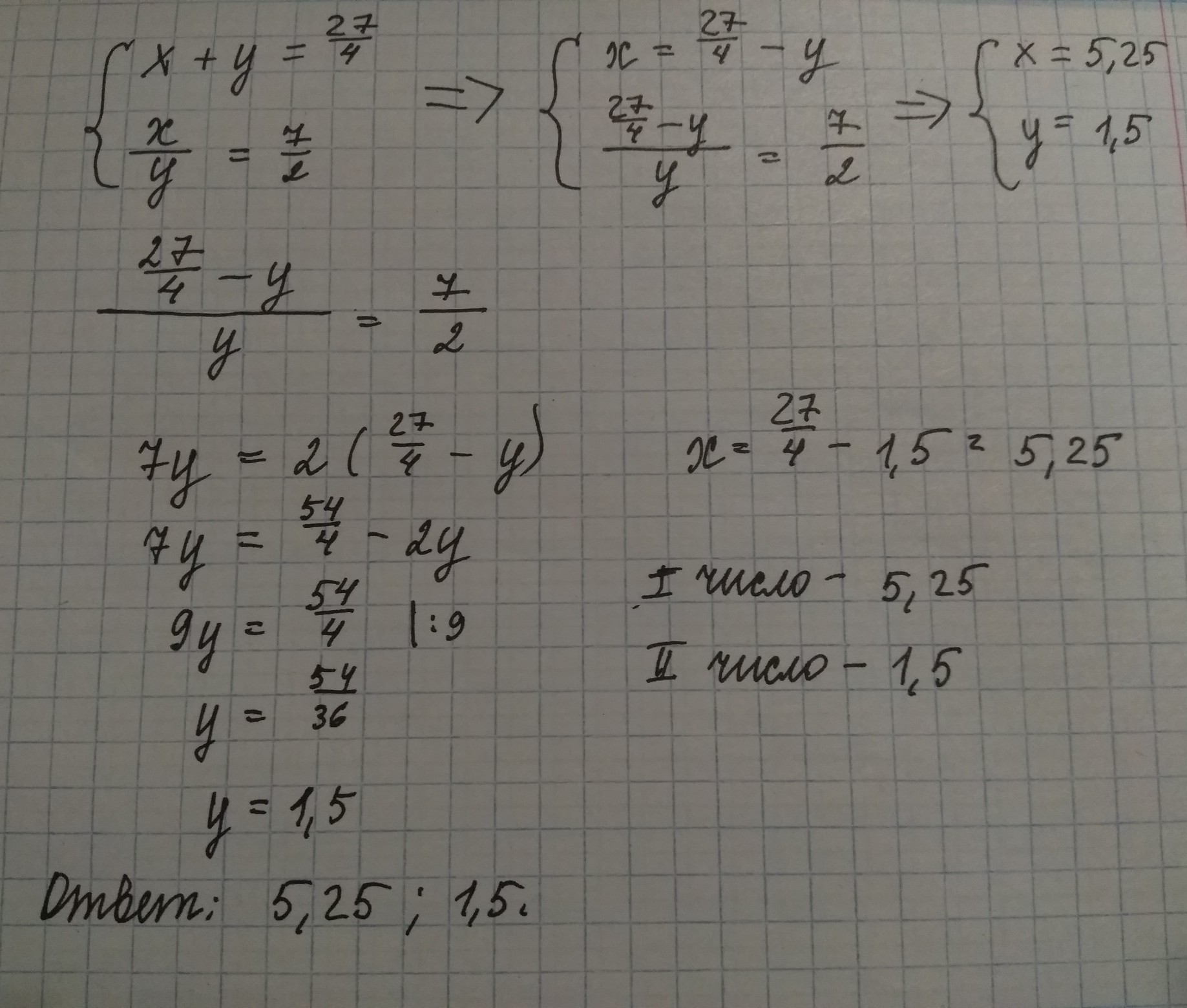
Чтобы решить задачу, составим систему уравнений и решим методом подстановки
Приложения:
Vikablond007:
нужно решить не уравнением
Автор ответа:
2
Если результат частного 3 целых 1/2, то получается, что одно число больше другого в 3,5 раза. Из этого следует, что всего из 4,5 частей состоит сумма.
1÷4,5=2/9 части суммы меньшее число.
3,5÷4,5=7/9 части суммы большее число.
Т.к. сумма равна (6 3/4)=6,75 то:
6,75×(2/9)=1,5 меньшее число.
6,75×(7/9)=5,25 большее число.
Ответ: 5,25 и 1,5.
1÷4,5=2/9 части суммы меньшее число.
3,5÷4,5=7/9 части суммы большее число.
Т.к. сумма равна (6 3/4)=6,75 то:
6,75×(2/9)=1,5 меньшее число.
6,75×(7/9)=5,25 большее число.
Ответ: 5,25 и 1,5.
спасибо огромное,ни когда бы не решила сама)
Похожие вопросы
Предмет: Математика,
автор: Bulka122
Предмет: Физика,
автор: faberlictlt
Предмет: Математика,
автор: alikserduk6
Предмет: Математика,
автор: супер74