Предмет: Математика,
автор: sahka9886
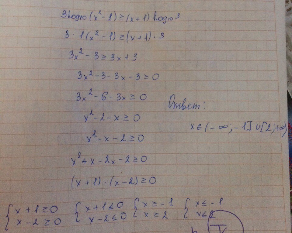
решение 3ig (x²-1)≥(x+1)lg³
sahka9886:
Во во
Школьная задача 11 класса ахаха
Ответы
Автор ответа:
0
Держи, должно быть так))
Приложения:
Похожие вопросы
Предмет: Алгебра,
автор: Аноним
Предмет: Математика,
автор: magomedovah998
Предмет: Математика,
автор: myatnik12
Предмет: Биология,
автор: Арина527
Предмет: Алгебра,
автор: ева221