Предмет: Алгебра, автор: Аноним

Помагите плис в фото прошу!!!!!!

Приложения:

Ответы

Автор ответа: afruzaaafruza
1

Ответ:

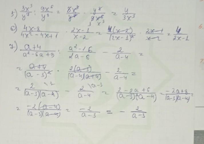
5) у/3х^2

6) 2/2х-1

7) -2/а-3

Приложения:

afruzaaafruza: да там правильно
afruzaaafruza: 7 вроде правильно, просто - надо как отрицательный дробь написать,.
afruzaaafruza: да
afruzaaafruza: секунду
afruzaaafruza: там все правильно
Похожие вопросы
Предмет: Другие предметы, автор: Аноним
Предмет: Русский язык, автор: sofyshkaLaza
Предмет: Математика, автор: andreimalachi