Предмет: Физика,
автор: LoteFF
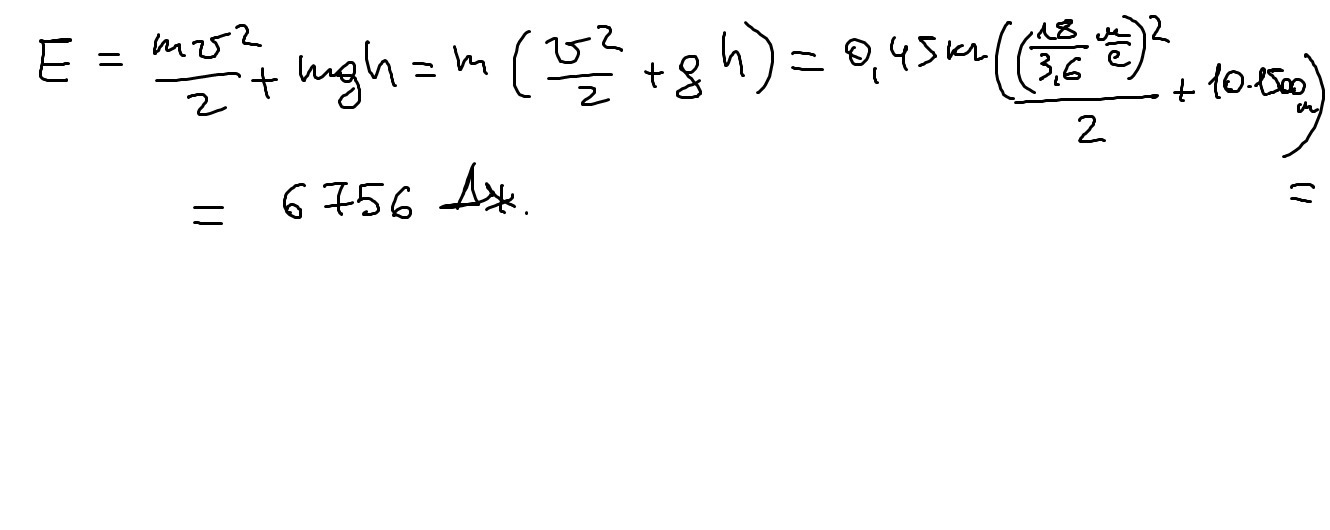
Найдите механическую энергию тела массой 450гр, движущуюся со скоростью 18 км/ч на высоте 1,5 км
Ответы
Автор ответа:
0
Не понятно, где нулевой уровень у тела. Если он на высоте, равно 0 м, тогда ок.
Приложения:
Похожие вопросы
Предмет: История,
автор: Аноним
Предмет: Геометрия,
автор: reve667klg
Предмет: Обществознание,
автор: wendysaikrov
Предмет: Геометрия,
автор: karinalovemband
Предмет: Математика,
автор: LalkaKat