Предмет: Алгебра,
автор: dimademidov1
алгебра 15 баллов срочно
Приложения:
Ответы
Автор ответа:
0
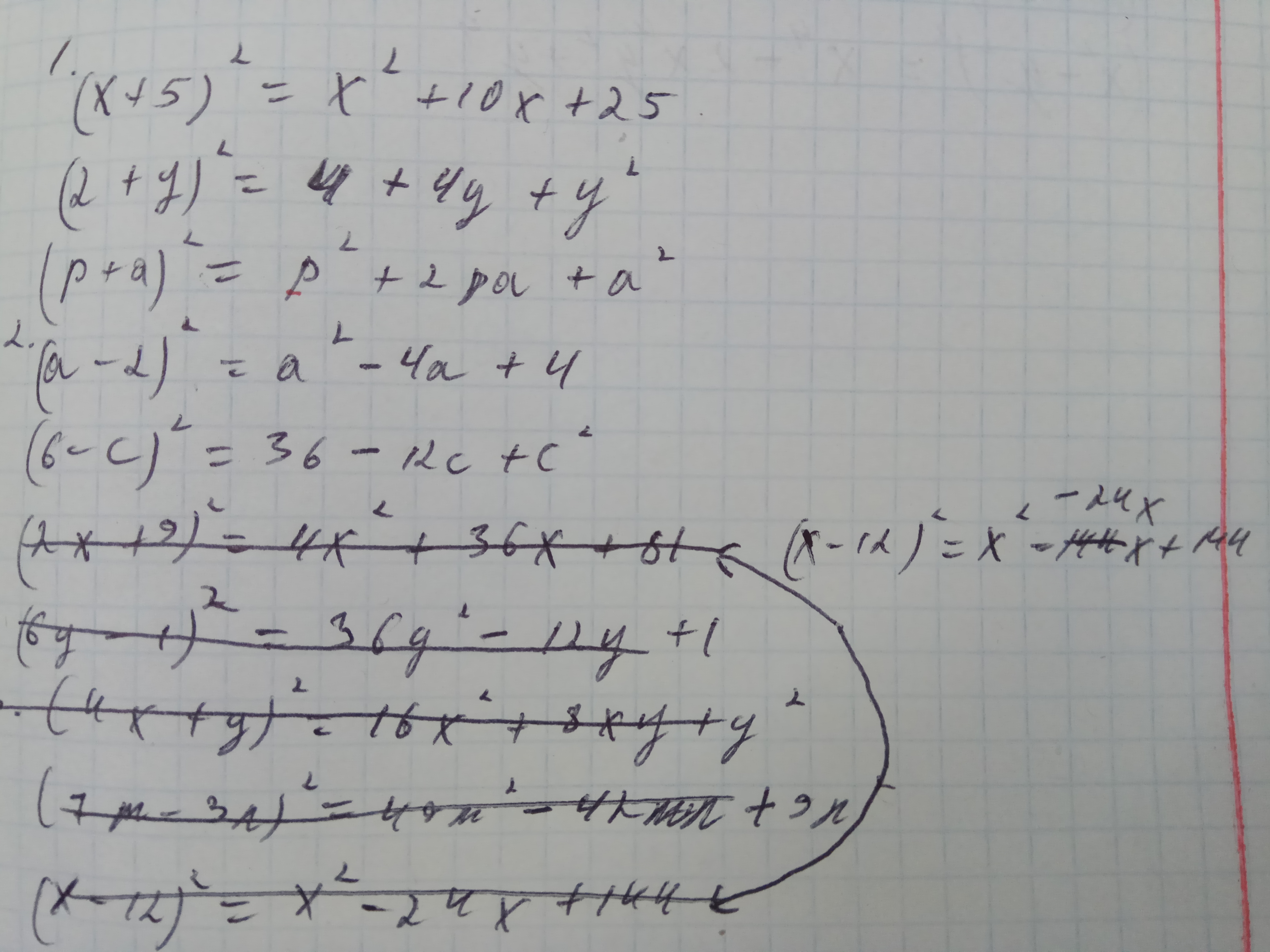
Вот решение этих примеров, раскрытие скобок
Приложения:
GoodIlya:
Зачёркнуто, так как я решил сделать нумерацию, чтобы тебе было удобно читать, а не хаотично
Похожие вопросы
Предмет: Математика,
автор: mohichehratosheva
Предмет: Английский язык,
автор: Illa228H
Предмет: Литература,
автор: toxichorns
Предмет: География,
автор: Маруся1011
Предмет: Математика,
автор: rusyakadieva