Предмет: Математика,
автор: kashlikov49
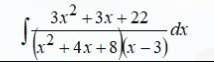
Найти неопределённый интеграл
Приложения:
Ответы
Автор ответа:
0
Решается по методу неопределенных коэффициентов.

Знаменатели одинаковые, значит, и числители равны.
Ax^2 + Bx - 3Ax - 3B + Cx^2 + 4Cx + 8C = 3x^2 + 3x + 22
Составляем систему по степеням x:
{ A + C = 3
{ -3A + B + 4C = 3
{ -3B + 8C = 22
Подставляем 1 уравнение во 2 и 3 уравнения
{ C = 3 - A
{ -3A + B + 4(3 - A) = -7A + B + 12 = 3
{ -3B + 8(3 - A) = -8A - 3B + 24 = 22
Приводим подобные
{ C = 3 - A
{ -7A + B = -9
{ -8A - 3B = -2
Умножаем 2 уравнение на 3
{ C = 3 - A
{ -21A + 3B = -27
{ -8A - 3B = -2
Складываем 2 и 3 уравнения
{ -29A = -29; A = 1
{ B = (-8A + 2)/3 = (-8 + 2)/3 = -6/3 = -2
{ C = 3 - A = 3 - 1 = 2
Заметим, что:
1) x^2 + 4x + 8 = (x^2 + 4 + 4) + 4 = (x+2)^2 + 4
2) (x^2 + 4x + 8)' = 2x + 4
Получаем интеграл:

Решаем их по одному



В итоге получаем:

Знаменатели одинаковые, значит, и числители равны.
Ax^2 + Bx - 3Ax - 3B + Cx^2 + 4Cx + 8C = 3x^2 + 3x + 22
Составляем систему по степеням x:
{ A + C = 3
{ -3A + B + 4C = 3
{ -3B + 8C = 22
Подставляем 1 уравнение во 2 и 3 уравнения
{ C = 3 - A
{ -3A + B + 4(3 - A) = -7A + B + 12 = 3
{ -3B + 8(3 - A) = -8A - 3B + 24 = 22
Приводим подобные
{ C = 3 - A
{ -7A + B = -9
{ -8A - 3B = -2
Умножаем 2 уравнение на 3
{ C = 3 - A
{ -21A + 3B = -27
{ -8A - 3B = -2
Складываем 2 и 3 уравнения
{ -29A = -29; A = 1
{ B = (-8A + 2)/3 = (-8 + 2)/3 = -6/3 = -2
{ C = 3 - A = 3 - 1 = 2
Заметим, что:
1) x^2 + 4x + 8 = (x^2 + 4 + 4) + 4 = (x+2)^2 + 4
2) (x^2 + 4x + 8)' = 2x + 4
Получаем интеграл:
Решаем их по одному
В итоге получаем:
Похожие вопросы
Предмет: Українська література,
автор: maryanamin20092
Предмет: Математика,
автор: statsenkokatya09
Предмет: Физика,
автор: temari21
Предмет: Алгебра,
автор: mashatimofeeva
Предмет: Алгебра,
автор: RSeage