Предмет: Алгебра,
автор: nanananaha
решите пожааалуйстааааа
Приложения:
Ответы
Автор ответа:
1
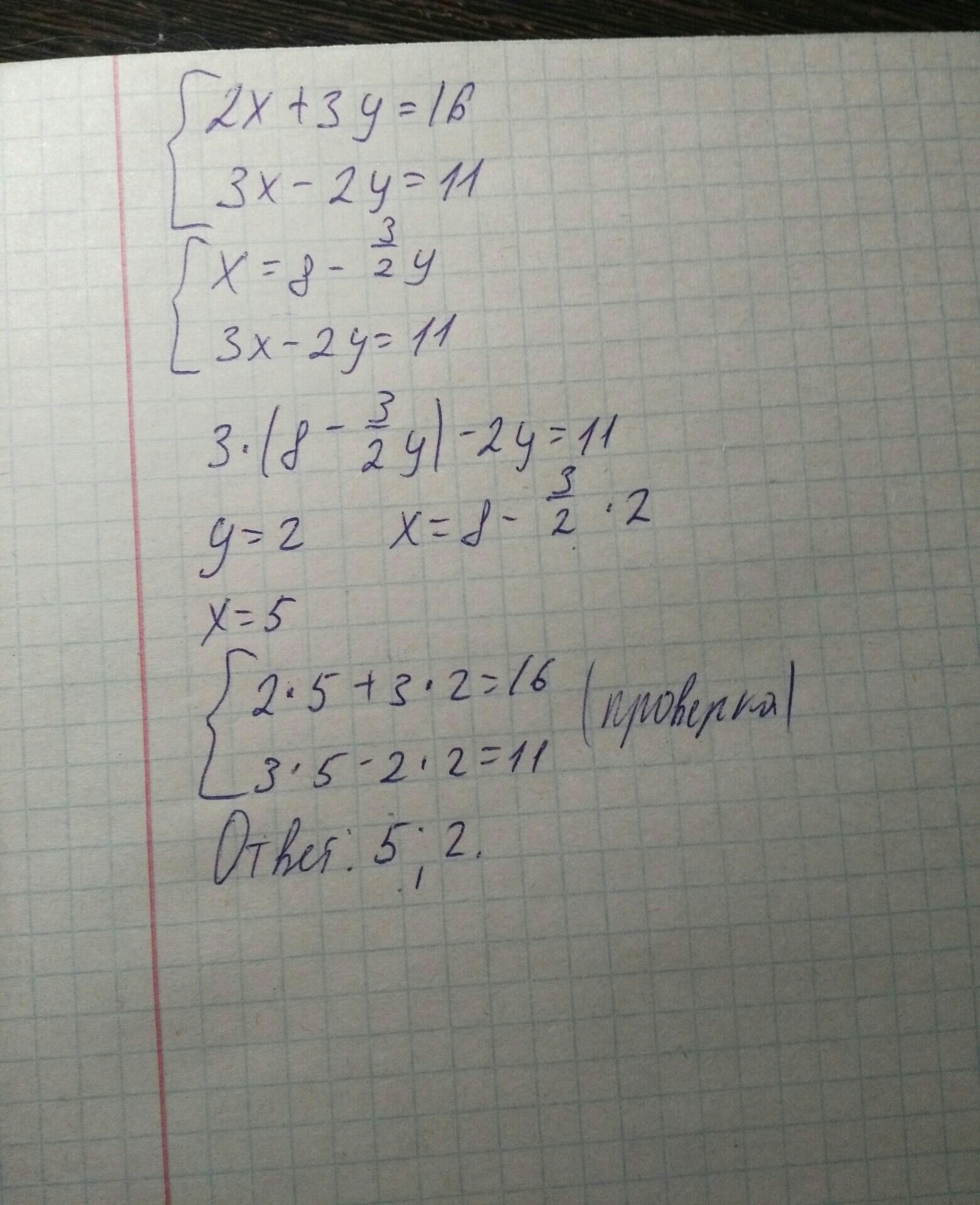
вроде так получается.
Приложения:
Похожие вопросы
Предмет: Физика,
автор: volodagerosov
Предмет: Українська мова,
автор: kirilldocukk2008
Предмет: Физкультура и спорт,
автор: guliareshetnikova16
Предмет: Литература,
автор: мотоциклистка23
Предмет: История,
автор: kilinasvetlana