Предмет: Математика,
автор: bobrovnikovanas1
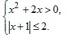
Решите систему неравенств
Приложения:
Ответы
Автор ответа:
0
Решение в фото......
Приложения:
Автор ответа:
1
Фотофотофотофотофото
Приложения:
Похожие вопросы
Предмет: Математика,
автор: Bratyarikus
Предмет: Алгебра,
автор: aljona220202
Предмет: История,
автор: ZSAy
Предмет: Математика,
автор: school4class