Предмет: Математика,
автор: orlik8
привет помогите пожалуста с заданием 4
Приложения:
Ответы
Автор ответа:
1
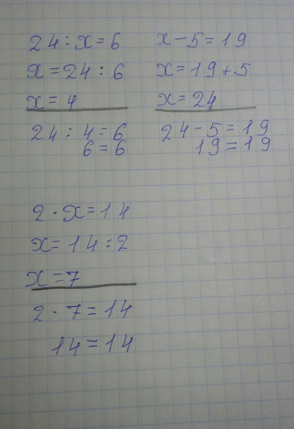
а) 2*х=14
б)24:х=6
в)х-5=19
Решение на фотографии)
б)24:х=6
в)х-5=19
Решение на фотографии)
Приложения:
orlik8:
,спосибо вам
Рада помочь)
Похожие вопросы
Предмет: Математика,
автор: Аноним
Предмет: Математика,
автор: stdyfsdufdydjcysg
Предмет: Физика,
автор: rafmalfoy
Предмет: Математика,
автор: Аноним
Предмет: Литература,
автор: girlkamila