Предмет: Алгебра,
автор: Амелия15
50+25 баллов! Решите, пожалуйста, систему уравнений.
---
| x+2y+(1/(x+2y))=26/5
<
| 3x-(1/(x+2y))=2/5
---
Приложения:
Амелия15:
Эта штука слева от примеров- это знак системы- т.е. большая фигурная скобка.
Ответы
Автор ответа:
3
Ффффффффффффффффффффффффффффффффффф
Приложения:
Автор ответа:
1
task/28219138
--------------------
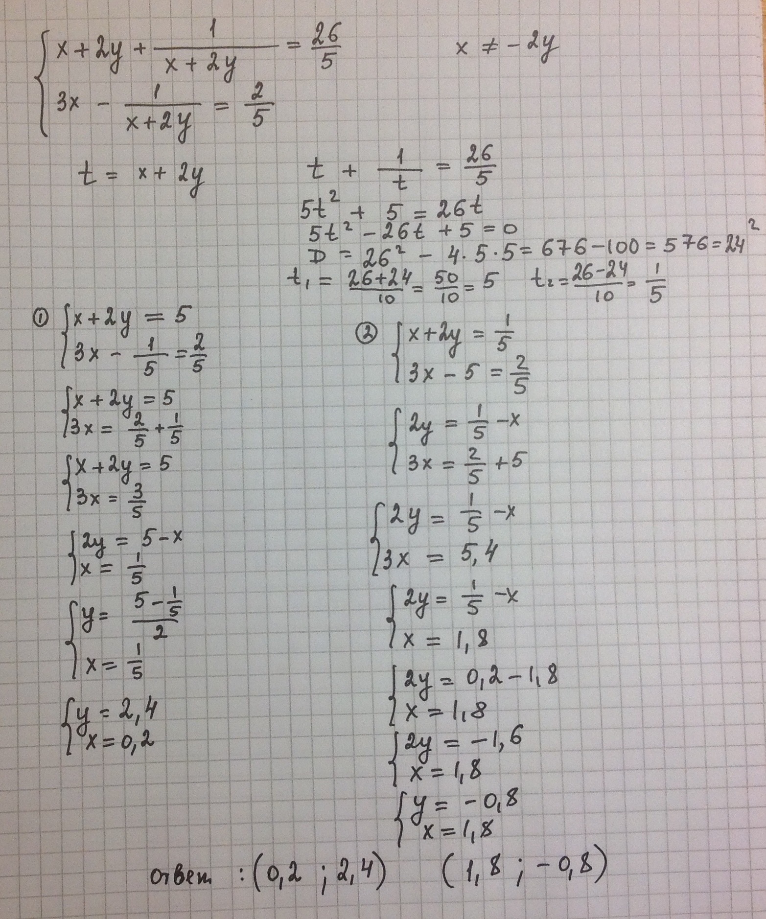
Решите систему уравнений :
[ x+2y + 1/(x+2y) = 26/5 , [ x+2y + 1/(x+2y) = 5 +1/5 ,
< ⇔ <
[ 3x - 1/(x+2y) =2/5 . [ 3x - 1/(x+2y) =2/5.
a)
[ x+2y =5 , [ x+2y =5 , [ 1/5+2y =5 , [ y =2,4
< ⇔ < < <
[ 3x -1/(x+2y) =2/5. [ 3x -1/5 =2/5 . [ x =1/5. [ x =0,2.
------- или -------
б)
[ x+2y =1/5 , [ x+2y =5 , [ 9/5+2y =1/5 , [ y = - 0,8
< ⇔ < < <
[ 3x -1/(x+2y) =2/5. [ 3x - 5 =2/5 . [ x =9/5. [ x =1,8.
ответ: { (x; y) | (0,2 ; 2,4) ,(1,8 ; - 0,8) }
* * * * * * * * * * * * * * * * * * * * * * * * * * * *
Можно и по другому
[ y =2,8 - 2x (сложили уравн.) [ y =2,8 - 2x ,
< <
[ 3x - 1/(x+5,6 - 4x) ) =2/5. [ 3x - 1/(5,6 - 3x) ) =0,4.
3x - 1/(5,6 - 3x) ) =0,4. ⇔
x ²- 2x +0,36 =0 D₁ =1² -0,36 =0,64 =0,8².
x₁ =1 - 0,8 =0,2 ; y₁ =2,8 - 2*0,2 = 2,4.
x₂ =1 +0,8 =1,8 ; y₂ =2,8 - 2*1,8 = - 0,8.
--------------------
Решите систему уравнений :
[ x+2y + 1/(x+2y) = 26/5 , [ x+2y + 1/(x+2y) = 5 +1/5 ,
< ⇔ <
[ 3x - 1/(x+2y) =2/5 . [ 3x - 1/(x+2y) =2/5.
a)
[ x+2y =5 , [ x+2y =5 , [ 1/5+2y =5 , [ y =2,4
< ⇔ < < <
[ 3x -1/(x+2y) =2/5. [ 3x -1/5 =2/5 . [ x =1/5. [ x =0,2.
------- или -------
б)
[ x+2y =1/5 , [ x+2y =5 , [ 9/5+2y =1/5 , [ y = - 0,8
< ⇔ < < <
[ 3x -1/(x+2y) =2/5. [ 3x - 5 =2/5 . [ x =9/5. [ x =1,8.
ответ: { (x; y) | (0,2 ; 2,4) ,(1,8 ; - 0,8) }
* * * * * * * * * * * * * * * * * * * * * * * * * * * *
Можно и по другому
[ y =2,8 - 2x (сложили уравн.) [ y =2,8 - 2x ,
< <
[ 3x - 1/(x+5,6 - 4x) ) =2/5. [ 3x - 1/(5,6 - 3x) ) =0,4.
3x - 1/(5,6 - 3x) ) =0,4. ⇔
x ²- 2x +0,36 =0 D₁ =1² -0,36 =0,64 =0,8².
x₁ =1 - 0,8 =0,2 ; y₁ =2,8 - 2*0,2 = 2,4.
x₂ =1 +0,8 =1,8 ; y₂ =2,8 - 2*1,8 = - 0,8.
Похожие вопросы
Предмет: Английский язык,
автор: MrEpicFail
Предмет: Русский язык,
автор: aleeksaa96
Предмет: Алгебра,
автор: fghivjyfbchvhvhfxedc
Предмет: Биология,
автор: dodo69745
Предмет: История,
автор: milkiway6