Предмет: Алгебра,
автор: GreatShurf
Пожалуйста помогите с тригонометрией
Приложения:
Ответы
Автор ответа:
0
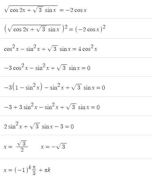
1) ....(картинка 1)
но поскольку подкоренное выражение, а соответственно и -2cosx должны быть неотрицательны подходит x = π/3 + 2πk
2) 5
3) 2
4) (картинка 2)
5) 1
но это не точно
но поскольку подкоренное выражение, а соответственно и -2cosx должны быть неотрицательны подходит x = π/3 + 2πk
2) 5
3) 2
4) (картинка 2)
5) 1
но это не точно
Приложения:
Похожие вопросы
Предмет: Химия,
автор: kamaldinabilay
Предмет: Математика,
автор: lokotkovaarina
Предмет: Русский язык,
автор: egorfrydi
Предмет: Математика,
автор: Элизабет2609