Предмет: Математика,
автор: ЕсенияЕвдокия
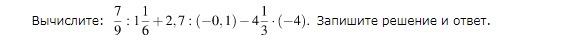
Помогите!!!!!!! дам 14 баллов
Приложения:
Ответы
Автор ответа:
3
1. 3я с конца, 7я с начала
2. -9
2. -9
Похожие вопросы
Предмет: Химия,
автор: Аноним
Предмет: Русский язык,
автор: bagilanagymbaj
Предмет: Химия,
автор: anechkao
Предмет: Геометрия,
автор: Задачи11