Предмет: Алгебра,
автор: Dimon30555
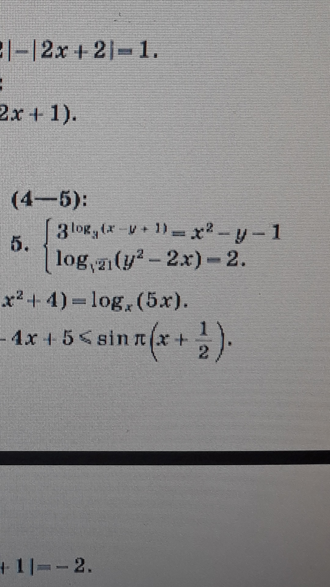
помогите 5 систему решить пожалуйста
Приложения:
park01:
Ща решу
Ответы
Автор ответа:
0
Смотри во вложении .
Приложения:
Прикрепил второе фото. Вроде решений нет
Одз: x-y+1>0
спасибо
Похожие вопросы
Предмет: Қазақ тiлi,
автор: bajoldau
Предмет: Математика,
автор: ctrlaltpurlare
Предмет: Математика,
автор: lisalike122
Предмет: Математика,
автор: vova123450987