Предмет: Алгебра,
автор: SaschaDorofeeva2003
Решите пожалуйста
Ответы
Автор ответа:
1
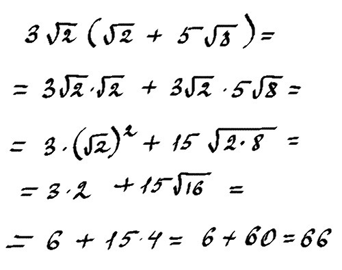
Решение в прикрепленном файле.
Приложения:
Похожие вопросы
Предмет: ОБЖ,
автор: ameliasalahutdinova0
Предмет: Геометрия,
автор: muhammadsajmahmadov7
Предмет: География,
автор: zarinkakasimova28
Предмет: Математика,
автор: эрик52
Предмет: Математика,
автор: fidana1608fid