Предмет: Математика, автор: vertebrid

Общим решением дифференциального уравнения y′′′ = 4 является ?
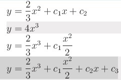
(нужно выбрать одно из четырёх, указанных на приложенном рисунке).



Приложения:

Ответы

Автор ответа: NNNLLL54
1
y'''=4\\\\y''=4x+C_1\\\\y'=4\cdot \frac{x^2}{2}+C_1x+C_2=2x^2+C_1x+C_2\\\\y=2\cdot \frac{x^3}{3}+C_1\cdot \frac{x^2}{2}+C_2x+C_3=\frac{2}{3}x^3+C_1\cdot \frac{x^2}{2}+C_2x+C_3

Ответ:  № 4 .

vertebrid: Третья попытка сдать тест с этим ответом опять привела к неудаче :-( Других ошибок точно нет - всё лёгкое, типа "найдите предел". Парадокс. Может быть, какое-то из предыдущих уравнений является хитро сокращённой версией ответа №4, кроме первого, конечно?
NNNLLL54: Решение верное. Даже по виду представленных ответов ясно, что кроме №4 никакой другой ответ не годится, т.к. решение дифф.ур. 3 порядка в ответе должно иметь три константы ( только в №4 есть три const).
NNNLLL54: Пусть преподаватель попробует объяснить, что "неверно" в этом ответе...
vertebrid: Я "ЗА" на все 100%. Просто сомневаюсь в своей сообразительности. А раз все со мной согласны - значит, в тесте ошибка. Спасибо.
NNNLLL54: В тесте, как я понимаю, не один пример, поэтому неверный ответ может быть не в этом примере.
vertebrid: Невозможно, могу выложить весь вариант с ответами.
Автор ответа: SupremeX
5
Верный ответ: y = 2/3x^3 + c1 x^2/2 + c2x + c3
Похожие вопросы
Предмет: Математика, автор: iraidabach1974